Synthesis and anticorrosive activity of tert-amines containing cycloacetal or gem-dichlorocyclopropane fragments and quaternary ammonium salts on their basis
https://doi.org/10.32362/2410-6593-2025-20-3-193-202
EDN: UAWQXG
Abstract
Objectives. The work set out to synthesize tertiary amines comprising derivatives of morpholine and piperidine containing a 1,3-dioxolane or gem-dichlorocyclopropane fragment, as well as quaternary ammonium salts based on them. In order to determine the process conditions (duration and temperature of the reaction) under which the maximum possible yield of the target quaternary ammonium salts is achieved, the effect of the halide structure on the yield of tert-amines and their subsequent salts was evaluated. The study also aimed to establish the structural and spatial structure of the obtained carbo- and heterocyclic amines and salts based on them, as well as to evaluate the anticorrosive properties of the obtained products in a hydrogen sulfide medium.
Methods. The target compounds, such as tertiary amines and quaternary ammonium salts (QAS), were obtained by classical methods of organic synthesis consisting of alkylation and condensation of the corresponding amines of various structures. Preparation of QAS was carried out using a microwave system for organic synthesis via microwave activation on a Sineo device (China). The qualitative and quantitative composition of the reaction masses was determined using gas–liquid chromatography (Crystal 2000 hardware and software complex), while mass spectroscopy was carried out on a Chromatec-Crystal 5000M device with a NIST 2012 database). A Bruker AM-500 device having operating frequencies of 500 and 125 MHz was used to perform nuclear magnetic resonance spectroscopy.
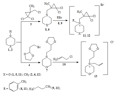
Results. Tertiary amines containing a cycloacetal or gem-dichlorocyclopropane fragment were obtained under thermal heating conditions. By carrying out their condensation in excess halides using microwave radiation, new quaternary ammonium salts were synthesized with a yield close to quantitative. Anticorrosive activity was estimated for the obtained cyclic compounds. 4-Allyl-4-[2-(1,3-dioxolan-2-yl)-ethyl]morpholinium chloride was determined to have the maximum protective effect in a hydrogen sulfide medium with a protection level of 91 %.
Conclusions. Tertiary amines containing a cycloacetal or gem-dichlorocyclopropane fragment were obtained under the proposed conditions. Such substances are in demand as intermediates in the synthesis of quaternary ammonium salts having anticorrosive activity.
About the Authors
Yu. G. BorisovaRussian Federation
Yulianna G. Borisova, Cand. Sci. (Chem.), Teacher
Department of General, Analytical and Applied Chemistry
450064; 1, Kosmonavtov ul.; Ufa
Scopus Author ID 56526865000, ResearcherID P-9744-2017
Competing Interests:
The authors declare no conflicts of interest
Sh. Sh. Dzhumaev
Russian Federation
Shakhobiddin Sh. Dzhumaev, Cand. Sci. (Chem.), Laboratory Engineer
Department of General, Analytical and Applied Chemistry
450064; 1, Kosmonavtov ul.; Ufa
Scopus Author ID 7801627714, ResearcherID HLH-5542-2023
Competing Interests:
The authors declare no conflicts of interest
R. M. Sultanova
Russian Federation
Rimma M. Sultanova, Dr. Sci. (Chem.), Professor
Department of General, Analytical and Applied Chemistry
450064; 1, Kosmonavtov ul.; Ufa
Scopus Author ID 6602738038
Competing Interests:
The authors declare no conflicts of interest
G. Z. Raskil’dina
Russian Federation
Gul’nara Z. Raskil’dina, Dr. Sci. (Chem.), Professor
Department of General, Analytical and Applied Chemistry
450064; 1, Kosmonavtov ul.; Ufa
Scopus Author ID 56069888400, ResearcherID F-1619-2017
Competing Interests:
The authors declare no conflicts of interest
S. S. Zlotskii
Russian Federation
Simon S. Zlotskii, Dr. Sci. (Chem.), Professor, Head of the Department
Department of General, Analytical and Applied Chemistry
450064; 1, Kosmonavtov ul.; Ufa
Scopus Author ID 6701508202, ResearcherID W-6564-2018
Competing Interests:
The authors declare no conflicts of interest
References
1. Waiker D.K., Verma A., Akhilesh G.T., Singh N., Roy A., Dilnashin H., Tiwari V., Trigun S.K., Singh S.P., Krishnamurthy S., Lama P., Davisson V.J., Shrivastava S.K. Design, Synthesis, and Biological Evaluation of Piperazine and N-Benzylpiperidine Hybrids of 5-Phenyl-1,3,4-oxadiazol-2-thiol as Potential Multitargeted Ligands for Alzheimer’s Disease Therapy. ACS Chem. Neurosci. 2023;14(11):2217–2242. doi: 10.1021/acschemneuro.3c00245
2. Blake L.C., Roy A., Neul D., Schoenen F.J., Aubé J., Scott E.E. Benzylmorpholine analogs as selective inhibitors of lung cytochrome P450 2A13 for the chemoprevention of lung cancer in tobacco users. Pharm. Res. 2013;30(9): 2290–2302. doi: 10.1007/s11095-013-1054-z
3. Brito A.F., Moreira L.K.S., Menegatti R., Costa E.A. Piperazine derivatives with central pharmacological activity used as therapeutic tools. Fundam. Clin. Pharmacol. 2019;33(1): 13–24. do: 10.1111/fcp.12408
4. Sun N.B., Jin J.Z., Lei C., Ke W. Synthesis, structure and biological activities of 2,2-dichloro-1-(4-ethoxyphenyl)-cyclopropanyl substituted piperidin-1-yl ketone. Asian J. Chem. 2013;25(7):4067–4070. doi: 10.14233/ajchem.2013.14040
5. Yakovenko E.A., Baimurzina Y.L., Raskil’dina G.Z., et al. Synthesis and herbicidal and antioxidant activity of a series of hetero- and carbocyclic derivatives of monochloroacetic acid. Russ. J. Appl. Chem. 2020;93(5):712–720. doi: 10.1134/S1070427220050122 [Original Russian Text: Yakovenko E.A., Baimurzina Y.L., Raskil’dina G.Z., Zlotskii S.S. Synthesis and herbicidal and antioxidant activity of a series of hetero- and carbocyclic derivatives of monochloroacetic acid. Zhurnal prikladnoi khimii. 2020;93(5):705–713 (in Russ.). doi: 10.31857/S0044461820050126 ]
6. Nadagouda M.N., Vijayasarathy P., Sin A., et al. Antimicrobial activity of quaternary ammonium salts: structure-activity relationship. Med. Chem. Res. 2022;31(10):1663–1678. doi: 10.1007/s00044-022-02924-9
7. Goebel T., Ulmer D., Projahn H., Kloeckner J., Heller E., Glaser M., Holzgrabe U. In search of novel agents for therapy of tropical diseases and human immunodeficiency virus. J. Med. Chem. 2008;51(2):238–250. doi: 10.1021/jm070763y
8. Raskil’dina G.Z., Borisova Yu.G., Vereshchagin A.N., Detusheva E.V., Sultanova R.M., Zlotskii S.S. Biological activity of quaternary ammonium salts containing 1,3-dioxolane or gem-dichlorocyclopropane fragment. Rev. and Adv. in Chem. 2024;14(1):16–21. doi: 10.1134/S2634827624600105
9. Tsuji Y., Yamamoto M., Vereshchagin A.N., Dorofeev A.S., Geyvandova T.A., Agafonova I.F., Geyvandov R.K. Dimeric Quaternary Pyridinium Salts Possessing Biocidal Activity: Pat. WO158045. Publ. 02. 10. 2014.
10. Vereshchagin A.N., Frolov N.A., Konyuhova V.Y., Hansford K.A., Egorov M.P. Synthesis and microbiological properties of novel bis-quaternary ammonium compounds based on 4,4′-oxydiphenol spacer. Mendeleev Commun. 2019;29(5): 523–525. doi: 10.1016/j.mencom.2019.09.015
11. Vereshchagin A.N., Gordeeva A.M., Frolov N.A., Proshin P.I., Hansford K.A., Egorov M.P. Synthesis and microbiological properties of novel bis-quaternary ammonium compounds based on biphenyl spacer. Eur. J. Organ. Chem. 2019;26: 4123–4127. doi: 10.1002/ejoc.201900319
12. Samoilov V.O., Ni D.S., Goncharova A.V., et al. Catalytic hydrogenolysis of solketal on bifunctional catalysts with production of high octane components of motor fuels. Russ. J. Appl. Chem. 2020;93(1):108–117. doi: 10.1134/s1070427220010127 [Original Russian Text: Samoilov V.O., Ni D.S., Goncharova A.V., Knyazeva M.I., Ramazanov D.N., Maksimov A.L. Catalytic hydrogenolysis of solketal on bifunctional catalysts with production of high octane components of motor fuels. Zhurnal prikladnoi khimii. 2020;93(1):121–131 (in Russ.). doi: 10.31857/S0044461820010120 ]
13. Maximov A.L., Nekhaev A.I., Ramazanov D.N. Ethers and acetals, promising petrochemicals from renewable sources. Pet. Chem. 2015;55(1):1–21. doi: 10.1134/S0965544115010107 [Original Russian Text: Maximov A.L., Nekhaev A.I., Ramazanov D.N. Ethers and acetals, promising petrochemicals from renewable sources. Neftekhimiya. 2015;55(1):3–24 (in Russ.). doi: 10.7868/S0028242115010104 ]
14. Dmitriev G.S., Terekhov A.V., Zanaveskin L.N., et al. Kinetics of the formation of solketal in the presence of sulfuric acid. Kinet. Catal. 2018;59(4):504–508. doi: 10.1134/S002315841804002X [Original Russian Text: Dmitriev G.S., Terekhov A.V., Zanaveskin L.N., Maksimov A.L., Khadzhiev S.N. Kinetics of the formation of solketal in the presence of sulfuric acid. Kinetika i kataliz. 2018;59(4):488–492 (in Russ.). doi: 10.1134/S0453881118040020 ]
15. Dmitriev G.S., Terekhov A.V., Zanaveskin L.N., et al. Choice of a catalyst and technological scheme for synthesis of solketal. Russ. J. Appl. Chem. 2016;89(10):1619–1624. doi: 10.1134/S1070427216100094 [Original Russian Text: Dmitriev G.S., Terekhov A.V., Zanaveskin L.N., Khadzhiev S.N., Zanaveskin K.L., Maksimov A.L. Choice of a catalyst and technological scheme for synthesis of solketal. Zhurnal prikladnoi khimii. 2016;89(10):1298–1304 (in Russ.).]
16. Dzhumaev Sh.Sh., Sakhabutdinova G.N., Stankevich K.E. Synthesis of some alcohols-based heterocyclic compounds and investigation of their influence on the lubricability of diesel fuel. Bashkirskii khimicheskii zhurnal = Bashkir Chem. J. 2023;30(2): 85–88 (in Russ.). doi: 10.17122/bcj-2023-2-85-88
17. Oparina L.A., Kolyvanov N.A., Ganina A.A., et al. Aryl butyl acetals as oxygenate octane-enhancing additives for motor fuels. Pet. Chem. 2020;60(1):134–139. doi: 10.1134/S0965544120010107 [Original Russian Text: Oparina L.A., Kolyvanov N.A., Ganina A.A., D’yachkova S.G. Aryl butyl acetals as oxygenate octane-enhancing additives for motor fuels. Neftekhimiya. 2020;60(1):148–153 (in Russ.). doi: 10.31857/S0028242120010104 ]
18. Mamlieva A.V., Mikhailova N.N., Shavshukova S.Yu. Corrosion inhibitors based on cyclic acetals and their derivatives. NefteGazoKhimiya = Oil & Gas Cheуmistry. 2020;1:30–33 (in Russ.). doi: 1024411/2310-8266-2020-10103
19. Raskil’dina G.Z., Ishmetova D.V., Sokov S.A., et al. Cytotoxic and antioxidant activity of a series of 4-methylene-1,3-dioxolanes acetals. Pharm. Chem. J. 2024;58(4):631–633. doi: 10.1007/s11094-024-03187-x [Original Russian Text: Raskil’dina G.Z., Ishmetova D.V., Sokov S.A., Golovanov A.A. Cytotoxic and antioxidant activity of a series of 4-methylene-1,3-dioxolanes acetals. Khimiko-Farmatsevticheskii Zhurnal. 2024;58(4):32–34 (in Russ.). doi: 10.30906/0023-1134-2024-58-4-32-34 ]
20. Sakhabutdinova G.N., Yakovenko E.A., Raskil’dina G.Z., et al. Synthesis and Catalytic activity of quaternary ammonium salts containing gem-dichlorocyclopropane and 1,3-dioxolane fragments. Russ. J. Appl. Chem. 2020;93(7):967–972. doi: 10.1134/s1070427220070046 [Original Russian Text: Sakhabutdinova G.N., Yakovenko E.A., Raskil’dina G.Z., Zlotskii S.S. Synthesis and Catalytic activity of quaternary ammonium salts containing gem-dichlorocyclopropane and 1,3-dioxolane fragments. Zhurnal prikladnoi khimii. 2020;93(7):952–957 (in Russ.). doi: 10.31857/S004446182007004X ]
21. Latypova F.N., Vildanov F.Sh., Chanyshev R.R., Zlotskii S.S. Chemistry of cyclic acetals and their analogues in the work of scientific schools D.L. Rakhmankulova. Izv. Vyssh. Uchebn. Zaved. Khim. Khim. Tekhnol. = ChemChemTech. 2015;58(8):3–21 (in Russ.).
22. Gaimaletdinova G.L., Latypova D.R., Latypov O.R., Ismakov R.A., Minnimukhametova E.R., Mulyukov R.A. Study of the anticorrosion properties of a complex action reagent used as a drilling mud additive. Neftyanaya Provintsiya. 2022;3(31): 163–178 (in Russ.). doi: 10.25689/NP.2022.3.163-178
23. Verma C., Ebenso E.E., Quraishi M.A., Hussain C.M. Recent developments in sustainable corrosion inhibitors: design, performance and industrial scale applications. Mater. Adv. 2021;2(12):3806–3850. doi: 10.1039/d0ma00681e
Supplementary files
|
|
1. Obtaining target salts 11–13 | |
| Subject | ||
| Type | Исследовательские инструменты | |
View
(12KB)
|
Indexing metadata ▾ | |
It was established that tertiary amines containing a cycloacetal or gem-dichlorocyclopropane fragment can be successfully used for the synthesis of quaternary ammonium salts with anticorrosion activity.
Review
For citations:
Borisova Yu.G., Dzhumaev Sh.Sh., Sultanova R.M., Raskil’dina G.Z., Zlotskii S.S. Synthesis and anticorrosive activity of tert-amines containing cycloacetal or gem-dichlorocyclopropane fragments and quaternary ammonium salts on their basis. Fine Chemical Technologies. 2025;20(3):193-202. https://doi.org/10.32362/2410-6593-2025-20-3-193-202. EDN: UAWQXG






















