METABOLISM AND MECHANISM OF TOXICITY OF SELENIUM-CONTAINING SUPPLEMENTS USED FOR OPTIMIZING HUMAN SELENIUM STATUS
https://doi.org/10.32362/2410-6593-2019-14-1-5-24
Abstract
About the Authors
P. A. PoluboyarinovRussian Federation
Ph.D. (Agriculture), Associate Professor, Head of the Chair “Engineering Ecology”
28, Germana Titova st., Penza, 440028, Russia
D. G. Elistratov
Russian Federation
Director
116a, Kalinina st., Penza, 440033, Russia
V. I. Shvets
Russian Federation
D.Sc. (Chemistry), Academician of the RAS, Professor of the Chair of Biotechnology and Industrial Pharmacy, M.V. Lomonosov Institute of Fine Chemical Technologies,
86, Vernadskogo pr., Moscow, 119571, Russia
References
1. Behn D., Weiss-Nowak C., Kalcklösch M., Westphal C., Gessner H., Kyriakopoulos A. Studies on the distribution and characteristics of new mammalian selenium-containing proteins. Analyst. 1995; 120(3): 823-825.
2. Burk R.F., Hill K.E. Regulation of selenoproteins. Annu. Rev. Nutr. 1993; 13: 65-81.
3. Berry M.J., Larsen P.R. The role of selenium in thyroid hormone action. Endocr. Rev. 1992; 13(2): 207-219.
4. Sun Q.A., Wu Y., Zappacosta F., Jeang K.T., Lee B.J., Hatfield D.L., Gladyshev V.N. Redox regulation of cell signaling by selenocysteine in mammalian thioredoxin reductases. J. Biol. Chem. 1999; 274(35): 24522-24530.
5. Kudrin A.V., Skalnyj A.V., Zhavoronkov A.A., Skalnaya M.G., Gromova O.A. Immunopharmacology of trace elements. Moscow: KMK Publ., 2000. 537 p. (in Russ.)
6. Andersen O., Nielsen J. B. Effects of simultaneous low-level dietary supplementation with inorganic and organic selenium on whole-body, blood, and organ levels of toxic metals in mice. Environ. Health Perspect. 1994; 102(3): 321-324.
7. Selamoglu Z. Selenium compounds for fish health: An update. J. Survey in Fisheries Sciences. 2018; 4(2): 1-4.
8. Fairweather-Tait S.J., Bao Y., Broadley M.R., Collings R., Ford D., Hesketh J.E., Hurst R. Selenium in human health and disease. Antioxidants & Redox Signaling. 2011; 14(7): 1337-1383.
9. Zhao M., Hou Y., Fu X., Li D., Sun J., Fu X., Wei Z. Selenocystine inhibits JEG-3 cell growth in vitro and in vivo by triggering oxidative damage-mediated S-phase arrest and apoptosis. J. Can. Res. Ther. 2018; 14(7): 1540-1548.
10. Hori E., Yoshida S., Fuchigami T., Haratake M., Nakayama M. Cardiac myoglobin participates in the metabolic pathway of selenium in rats. Metallomics. 2018; 10(4): 614-622.
11. Bedwal R.S., Nair N., Sharma M.P., Mathur R.S. Selenium – Its biological perspectives. Med. Hypotheses. 1993: 41: 150-159.
12. Golubkina N.A., Parfenova E.O., Reshetnik L.A. Selenium consumption by the population of the Irkutsk region. Voprosy pitaniya (Nutrition Issues). 1998; 4: 24-26. (in Russ.)
13. Golubkina N.A., Sindireva A.V., Zaitsev V.F. Intraregional variability of population selenium status. Yug Rossii: ekologiya , razvitie (South of Russia: Ecology, Development). 2017; 12(1): 107-127. (in Russ.)
14. Sunde R.A., Bowman B.A., Russell R.M. Selenium. In: Present Knowledge in Nutrition, 9th Ed.: Washington, DC, USA: ILSI Press, 2006: 480-497.
15. Swanson C.A., Patterson B.H., Levander O.A. Human 75Se selenomethionine metabolism: A kinetic model. Am. J. Clin. Nutr. 1991; 54(5): 917-926.
16. Cooper C.E., Brown G.C. The inhibition of mitochondrial cytochrome oxidase by the gases carbon monoxide, nitric oxide, hydrogen cyanide and hydrogen sulfide: Chemical mechanism and physiological significance. J. Bioenerg. Biomembr. 2008; 40(5): 533-539.
17. Dorman D.C., Moulin F.J., McManus B.E., Mahle K.C., James R.A., Struve M.F. Cytochrome oxidase inhibition induced by acute hydrogen sulfide inhalation: Correlation with tissue sulfide concentrations in the rat brain, liver, lung, and nasal epithelium. Toxicol. Sci. 2002; 65(1): 18-25.
18. Peyroche G., Saveanu C., Dauplais M., Lazard M., Beuneu F., Decourty L., Malabat C., Jacquier A., Blanquet S., Plateau P. Sodium selenide toxicity is mediated by O2-dependent DNA breaks. PLoS ONE. 2012; 7(5): 1-10.
19. Nuttall K.L., Allen F.S. Kinetics of the reaction between hydrogen selenide ion and oxygenю. Inorg. Chim. Acta. 1984; 91: 243-246.
20. Nakamuro K., Okuno T., Hasegawa T. Metabolism of selenoamino acids and contribution of selenium methylation to their toxicity. J. Health Sci. 2000; 46(6): 418-421.
21. Suzuki K.T. Metabolomics of selenium: Se metabolites based on speciation studies. J. Health Sci. 2005; 51(2): 107-114.
22. Cantor А.Н., Seott M.F., Noguehi Т. Biological availability of selenium in feedstuffs and selenium compounds for prevention of exudative diathesis in chicks. J. Nutr. 1975; 105: 96-105.
23. Schwarz К., Foltz С.М. Factor 3 activity of selenium compounds. J. Biol. Chem. 1958; 233: 245-251.
24. Nuttall K.L., Fritz S.A. Hydrogen selenide ion and colloidal selenium in the catalytic oxidation of thiols. Inorg. Chim. Acta. 1984; 93(2): 85-88.
25. Herbel M.J., Blum J.S., Oremland R.S., Borglin S.E. Reduction of elemental selenium to selenide: Experiments with anoxic sediments and bacteria that respire Se-oxyanions. Geomicrobiology J. 2003; 20: 587-602.
26. Desai M.P., Labhasetwar V., Walter E., Levy R.J., Amidon G.L. The mechanism of uptake of biodegradable microparticles in Caco-2 cells is size dependent. Pharm. Res. 1997; 14(11): 1568-1573.
27. Zhang J., Wang X., Xu T. Elemental selenium at nano size (Nano-Se) as a potential chemopreventive agent with reduced risk of selenium toxicity: Comparison with Se-methylselenocysteine in mice. Toxicol. Sci. 2008; 101(1): 22-31.
28. Zhou X., Wang Y. Influence of dietary nano elemental selenium on growth performance, tissue selenium distribution, meat quality, and glutathione peroxidase activity in Guangxi Yellow chicken. Poult. Sci. 2011; 90(3): 680-686.
29. Zhang J.S., Gao X.Y., Zhang L.D., Bao Y.P. Biological effects of a nano red elemental selenium. Biofactors. 2001; 15(1): 27-38.
30. Palomo-Siguero M., Madrid Y. Exploring the behavior and metabolic transformations of SeNPs in exposed lactic acid bacteria. Effect of nanoparticles coating agent. Int. J. Mol. Sci. 2017; 18(8): 1712. doi.org/10.3390/ijms18081712.
31. Gather H.E. Selenotrisulfides. Formation by reaction of thiols with selenious acid. Biochemistry. 1968; 7: 2898-2905.
32. Gather H.E. Reduction of the selenotrisulfide derivarive of glutathione to a persulfide analog by glutathione reductase. Biochemistry. 1971; 10: 4089-4098.
33. Seko Y., Saito Y., Kitahara J., Imura N. Active oxygen generation by the reaction of selenite with reduced glutathione in vitro. In: Selenium in biology and medicine. Ed. A. Wendel. Berlin: Springer-Verlag, 1989: 70-73.
34. Poluboyarinov P.A., Moiseeva I.Ya., Glebova N.N. Determination of the interaction products of sodium selenite and the amino acid selenocystine with reduced glutathione by HPLC. Izvestiya vysshih uchebnyh zavedenij. Povolzhskij region. Estestvennye nauki. (University Proceedings. Volga region. Natural Sciences). 2016; 16(4): 77-87. (in Russ.)
35. Czauderna M., Samochocka K. Selenium incorporation into sulphur amino acids and glutathione and the stability of the incorporation products. J. Labelled Compounds and Radiopharmaceut. 1981; 18(6): 829-854.
36. Gmoshinski I.V., Mazo V.K., Tutelyan V.A., Khotimchenko S.A. Selenium microelement: Its role in vitality processes. Ekologiya morya (Ecology of the Sea). 2000; 54: 5-19. (in Russ.)
37. Pallud S., Lennon A.M., Ramauge M., Gavaret J.M., Croteau W., Pierre M., Courtin F., Germain D.L. Expression of the type II iodothyronine deiodinase in cultured rat astrocytes is selenium-dependent. J. Biol. Chem. 1997; 272(29): 18104-18110.
38. Poluboyarinov P.A., Leshchenko P.P., Moiseeva I.Ya., Kolesnikova S.G., Epshtein N.B. The mechanism of selenium elimination reaction in diacetophenonyl selenide under the action of reduced glutathione. Zhurnal analiticheskoy khimii (Russian Journal of Analytical Chemistry). 2017; 72(7): 633-638. (in Russ.)
39. Poluboyarinov P.A., Leshchenko P.P. Qualitative reaction to cysteine, reduced glutathione and diacetophenonyl selenide. Zhurnal analiticheskoy khimii (Russian Journal of Analytical Chemistry). 2013; 68(11): 1063-1066. (in Russ.)
40. Poluboyarinov P.A., Golubkina N.A. The study of the biochemical function of selenium and its effect on the content of protein fractions and the activity of peroxidase in corn seedlings. Fiziologiya rasteniy (Plant Physiology). 2015; 62(3): 396-403. (in Russ.)
41. Sies H. Ebselen, a selenoorganic compound as glutathione peroxidase mimic. Free Radic. Biol. Med. 1993; 14(3): 313-323.
42. Maiorino M., Roveri A., Coassin M., Ursini F. Kinetic mechanism and substrate specificity of glutathione peroxidase activity of ebselen (PZ51). Biochem. Pharmacol. 1988; 37(11): 2267-2271.
43. Nogueira C.W., Zeni G., Rocha J.B. Organoselenium and organotellurium compounds: Toxicology and pharmacology. Chem. Rev. 2004; 104(12): 6255-6285.
44. Jacob C., Maret W., Vallee B.L. Ebselen, a selenium containing redox drug, releases zinc from metallothionein. Biochem. Biophys. Res. Commun. 1998; 248(3): 569-573.
45. Xu K.H., Zhang Y., Tang B., Laskin J., Roach P.J., Chen H. Study of highly selective and efficient thiol derivatization using selenium reagents by mass spectrometry. Anal. Chem. 2010; 82(16): 6926-6932.
46. Schewe C., Schewe T., Wendel A. Strong inhibition of mammalian lipoxygenases by the antiinflammatory selenoorganic compound ebselen in the absence of glutathione. Biochem. Pharmacol. 1994; 48(1): 65-74.
47. Walther M., Holzhutter H.G., Kuban R.J., Wiesner R., Rathmann J., Kuhn H. The inhibition of mammalian 15-lipoxygenases by the anti-inflammatory drug ebselen: Dual-type mechanism involving covalent linkage and alteration of the iron ligand sphere. Mol. Pharmacol. 1999; 56(1): 196-203.
48. Hattori R., Yui Y., Shinoda E., Inoue R., Aoyama T., Masayasu H., Kawai C., Sasayama S. Effect of ebselen on bovine and rat nitric oxide synthase activity is modified by thiols. Jpn. J. Pharmacol. 1996; 72(2): 191-193.
49. Smith S.M., Min J., Ganesh T., Diebold B., Kawahara T., Zhu Y., McCoy J., Sun A., Snyder J.P., Fu H., Du Y., Lewis I., Lambeth J.D. Ebselen and congeners inhibit NADPH oxidase 2-dependent superoxide generation by interrupting the binding of regulatory subunits. Chem. Biol. 2012; 19(6): 752-763.
50. Mishra B., Priyadarsini K.I., Mohan H., Mugesh G. Horseradish peroxidase inhibition and antioxidant activity of ebselen and related organoselenium compounds. Bioorg. Med. Chem. Lett. 2006; 16(20): 5334-5338.
51. Tabuchi Y., Ogasawara T., Furuhama K. Mechanism of theinhibition of hog gastric H+, K+- ATPase by the selenoorganic compound ebselen. Arzneimittelforschung. 1994; 44(1): 51-54.
52. Borges V.C., Rocha J.B., Nogueira C.W. Effect of diphenyldiselenide, diphenyl ditelluride and ebselen on cerebral H+, K+-ATPase activity in rats. Toxicology. 2005; 215(3): 191-197.
53. Terentis A.C., Freewan M., Sempertegui Plaza T.S., Raftery M.J., Stocker R., Thomas S.R. The selenazal drug ebselen potently inhibits indoleamine 2,3-dioxygenase by targeting enzyme cysteine residues. Biochemistry. 2010; 49(3): 591-600.
54. Xia R., Ganther H.E., Egge A., Abramson J.J. Selenium compounds modulate the calcium release channel/ryanodine receptor of rabbit skeletal muscle by oxidizing functional thiols. Biochem. Pharmacol. 2004; 67(11): 2071-2079.
55. Parnham M.J., Sies H. The early research and development of ebselen. Biochem. Pharmacol. 2013; 86(9): 1248-1253.
56. Masumoto H., Hashimoto K., Nakaoka M., Hakusui H. Metabolism of ebselen (DR-3305). Relation to the Antioxidant Activity. 1995; 10: 158-161.
57. Blinokhvatov A.F. 9-R-sim-nonahydro-10-oxa (chalcogen) anthracenes and salts of 9-R-sim-octahydro10-oxonia (chalcogenonia) anthracene: D.Sc. (Chem.) thesis. Saratov: SGU, 1993. 378 p. (in Russ.)
58. Boryaev G.I. The use of clenbuterol in combination with organic compounds of zinc and selenium in order to increase the productivity and resistance of broiler chickens: Ph.D. (Biol.) thesis. Borovsk, 1992. 128 p. (in Russ.)
59. Zabrodskiy P.F., Drevko B.I., Mandych V.G., Germanchuk V.G., Balashov S.V., Kuzmin A.V. The change of toxicity of carbon tetrachloride and immunotoxicity and malathion under the influence of 2,4,6-triphenyl-4H-selenopyrane and their relationship with P-450 dependent monooxygenase system. Eksperimentalnaya i klinicheskaya farmakologiya. (Experimental and Clinical Pharmacology). 2008; 71(6): 42-44. (in Russ.)
60. Poluboyarinov P.A., Leshchenko P.P., Aripovsky A.V. Acid-catalyzed hydrolysis of selenopyran. Bashkirskiy khimicheskiy zhurnal (Bashkir Chemical Journal). 2016; 23(1): 22-29. (in Russ.)
61. Golubkina N.A., Sokolov Ya.A., Khotimchenko S.A., Tikhonov V.P., Tsib A.F. Evaluation of the selenium status in persons consuming selenopyran. Mikroelementy v meditsine (Trace Elements in Medicine). 2005; 6: 33-36. (in Russ.)
62. Sanotsky I.V. Selecor. Biological action. Мoscow: Mageric Publ., 2006. 206 p. (in Russ.)
63. Korbas M., O’Donoghue J.L., Watson G.E., Pickering I.J., Singh S.P., Myers G.J., Clarkson T.W., George G.N. The chemical nature of mercury in human brain following poisoning or environmental exposure. ACS Chem. Neurosci. 2010; 1: 810-818.
64. Esaki N., Nakamura T., Tanaka H., Soda K. Selenocysteine lyase, a novel enzyme that specifically acts on selenocysteine. Mammalian distribution and purification and properties of pig liver enzyme. J. Biol. Chem. 1982; 257: 4386-4391.
65. Ortega R., Carmona A., Lorens I., Solari P.L. X-ray absorption spectroscopy of biological samples. J. Anal. At. Spectrom. 2012; 27: 2054-2065.
66. Okuno T., Kubota T., Kuroda T., Ueno H., Nakamuro K. Contribution of enzymic alpha, gammaelimination reaction in detoxification pathway of selenomethionine in mouse liver. Toxicol. Appl. Pharmacol. 2001; 176: 18-23.
67. Suzuki K.T., Kurasaki K., Suzuki N. Selenocysteine beta-lyase and methylselenol demethylase in the metabolism of Se-methylated selenocompounds into selenide. Biochim. Biophys. Acta. Gen. Subj. 2007; 1770: 1053-1061.
68. Aitken J.B., Levina A., Lay P.A. Studies on the biotransformations and biodistributions of metalcontaining drugs using X-ray absorption spectroscopy. Curr. Top. Med. Chem. 2011; 11: 553-571.
69. Combs G.F. Biomarkers of selenium status. Nutrients. 2015; 7(4): 2209-2236.
70. Diplock A.T. Metabolic aspects of selenium action and toxicity. CRC Crit. Rev. Toxicol. 1976; 4: 271-329.
71. Maier K.J., Knight A.W. Ecotoxicology of selenium in freshwater systems. Rev. Environ. Contam. Toxicol. 1994; 134: 31-48.
72. Hatfield D.L., Gladyshev V.N. How selenium has altered our understanding of the genetic code. Mol. Cell Biol. 2002; 22: 3565-3576.
73. Rayman M.P. The use of high-selenium yeast to raise selenium status: How does it measure up? Br. J. Nutr. 2004; 92: 557-573.
74. Berry M.J., Banu L., Harney J.W., Larsen P.R. Functional characterization of the eukaryotic SECIS elements which direct selenocysteine insertion at UGA codons. EMBO J. 1993; 12(8): 3315-3322.
75. Nakamuro K., Okuno T., Hasegawa T. Metabolism of selenoamino acids and contribution of selenium methylation to their toxicity. J. Health Sci. 2000; 46(6): 418-421.
76. Hasegawa T., Mihara M., Okuno T., Nakamuro K., Sayato Y. Chemical form of selenium-containing metabolite in small intestine and liver of mice following orally administered selenocystine. Arch. Toxicol. 1995; 69: 312-317.
77. Hasegawa T., Okuno T., Nakamuro K., Sayato Y. Identification and metabolism of selenocysteineglutathione selenenyl sulfide (CySeSG) in small intestine of mice orally exposed to selenocystine. Arch. Toxicol. 1996; 71: 39-44.
78. Chen T., Wong Y.S. Selenocystine induces apoptosis of A375 human melanoma cells by activating ROS-mediated mitochondrial pathway and p53 phosphorylation. Cell Mol. Life Sci. 2008; 65(17): 2763-2775.
79. Chen T., Wong Y.S. Selenocystine induces reactive oxygen species-mediated apoptosis in human cancer cells. Biomed. Pharmacother. 2009; 63(2): 105-113.
80. Galochkin V.A., Galochkina V.P. Organic and mineral forms of selenium, metabolism, biological availability and role. Selskokhozyajstvennaya biologiya (Agricultural Biology). 2011; 4: 3-15. (in Russ.)
81. Imai T., Mihara H., Kurihara T., Esaki N. Selenocysteine is selectively taken up by red blood cells. Biosci. Biotechnol. Biochem. 2009; 73(12): 2746-2748.
82. Sayato Y., Hasegawa T., Taniguchi S., Maeda H., Ozaki K., Narama I., Nakamuro K. Acute and subacute oral toxicity of selenocystine in mice. Jap. J. Toxicol. Environ. Health. 1993; 39(4): 289-296.
83. Klug H.L., Moxon A.L., Petersen D.F., Painter E.P. Inhibition of rat liver succinic dehydrogenase by selenium compounds. J. Pharmacol. Exp. Ther. 1953; 108(4): 437-441.
84. Ostadalova I., Babitcky A. Toxic effect of various selenium compounds on the rat in the early postnatal period. Arch. Toxicol. 1980; 45(3): 207-211.
85. Belenky M.L. Elements of quantitative evaluation of the pharmacological effect. Leningrad: Medgiz Publ., 1963. 152 p. (in Russ.)
86. Ganther H.E., Lawrence J.R. Chemical transformations of selenium in living organisms.Improved forms of selenium for cancer prevention. Tetrahedron. 1997; 53: 12299-12310.
87. George G.N., Pickering I.J., Pushie M.J., Nienaber K., Hackett M.J., Ascone I., Hedman B., Hodgson K.O., Aitken J.B., Levina A. X-ray-induced photo-chemistry and X-ray absorption spectroscopy of biological samples. J. Synchrotron Radiat. 2012; 19: 875-886.
88. Kim T., Jung U., Cho D., Chung A. Semethylselenocysteine induces apoptosis through caspase activation in HL-60 cells. Carcinogenesis. 2001; 22(4): 559-565.
89. Weekley C. M., Aitken J. B., Finney L., Vogt S., Witting P.K., Harris H.H. Selenium metabolism in cancer cells: The combined application of XAS and XFM techniques to the problem of selenium speciation in biological systems. Nutrients. 2013; 5(5): 1734-1756.
90. Yang H., Jia X. Safety evaluation of Se-methylselenocysteine as nutritional selenium supplement: acute toxicity, genotoxicity and subchronic toxicity. Regul. Toxicol. Pharmacol. 2014; 70(3): 720-727.
91. Connell K.P., Portman O.W. Toxicity of dimethyl selenide in the rat and mouse. Proc. Soc. Exp. Biol. Med. 1952; 79(2): 230-231.
92. Cummins L.M., Kimura E.T. Safety evaluation of selenium sulfide antidan-druff shampoos. Toxicol. Appl. Pharmacol. 1971; 20(1): 89-90.
93. Rodionova T.N. Pharmacodynamics of selenoorganic preparations and their use in animal husbandry: abstract of dissertation ... D.Sc. (Biol.). Krasnodar: Kuban State Agrarian Univ., 2004. 45 p. (in Russ.)
94. https://www.alfa.com/ru/content/msds/USA/J63190.pdf
Supplementary files
|
|
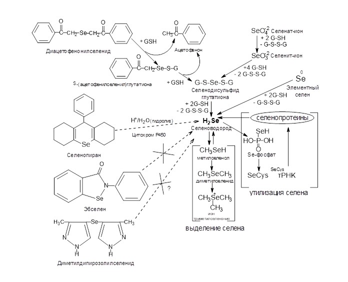
1. General scheme of metabolism of selenium-containing xenobiotics and selenite- and selenate-ions. | |
| Subject | ||
| Type | Research Instrument | |
View
(66KB)
|
Indexing metadata ▾ | |
Review
For citations:
Poluboyarinov P.A., Elistratov D.G., Shvets V.I. METABOLISM AND MECHANISM OF TOXICITY OF SELENIUM-CONTAINING SUPPLEMENTS USED FOR OPTIMIZING HUMAN SELENIUM STATUS. Fine Chemical Technologies. 2019;14(1):5-24. (In Russ.) https://doi.org/10.32362/2410-6593-2019-14-1-5-24





















