Using nitrogen-containing organosilicon compounds in the creation of heat- and fire-resistant filling compositions to seal high-voltage and high-frequency equipment
https://doi.org/10.32362/2410-6593-2024-19-4-293-309
EDN: ZVSAGK
Abstract
Objectives. To study the possibility of using nitrogen-containing organosilicon compounds in the creation of heat-resistant and fireresistant casting compositions to seal high-voltage high-frequency equipment.
Methods. Nitrogen-containing organosilicon compounds were obtained using the N-siloxycarbonylation, formylation, and silylation methods. The methods used in the work were infrared spectroscopy, elemental analysis, viscometry, and differential scanning calorimetry. The mechanical and dielectric properties of the samples were determined.
Results. Previously unknown substances and compounds containing nitrogen-containing organosilicon products as components of the curing composition were obtained. Their physicomechanical and operational properties were examined, including the possibility of using them as filling heat-resistant and fire-resistant compositions for sealing high-voltage and high-frequency equipment.
Conclusions. It was shown that nitrogen-containing organosilicon compounds — 3-(diethylamino)-2-[(triethoxysilyl)oxy]propyl-2-methacrylate and triethoxysilyl ester of γ-triethoxysilylpropyl-carbamic acid — can be used as part of a curing system together with bromine-containing fillers, in order to obtain compounds used for filling high-voltage high-frequency transformers, throttle valves, and other electronic equipment elements with non-combustible properties and increased heat resistance.
About the Authors
A. D. KirilinRussian Federation
Alexey D. Kirilin - Dr. Sci. (Chem.), Professor, Head of the K.A. Andrianov Department of Chemistry and Technology of Organoelement Compounds, M.V. Lomonosov Institute of Fine Chemical Technologies. Scopus Author ID 6603604447, ResearcherID О-9744-215.
86, Vernadskogo pr., Moscow, 119571
Competing Interests:
The authors declare that there is no conflict of interest
L. O. Belova
Russian Federation
Liya O. Belova - Dr. Sci. (Chem.), Professor, K.A. Andrianov Department of Chemistry and Technology of Organoelement Compounds, M.V. Lomonosov Institute of Fine Chemical Technologies. Scopus Author ID 7102282244.
86, Vernadskogo pr., Moscow, 119571
Competing Interests:
The authors declare that there is no conflict of interest
N. A. Golub
Russian Federation
Nataliya A. Golub - Cand. Sci. (Chem.) Associate Professor, K.A. Andrianov Department of Chemistry and Technology of Organoelement Compounds, M.V. Lomonosov Institute of Fine Chemical Technologies, Scopus Author ID 56084643600.
86, Vernadskogo pr., Moscow, 119571
Competing Interests:
The authors declare that there is no conflict of interest
M. V. Pletneva
Russian Federation
Mariya V. Pletneva - Cand. Sci. (Chem.) Associate Professor, K.A. Andrianov Department of Chemistry and Technology of Organoelement Compounds, M.V. Lomonosov Institute of Fine Chemical Technologies, Scopus Author ID 37104888400.
86, Vernadskogo pr., Moscow, 119571
Competing Interests:
The authors declare that there is no conflict of interest
N. I. Kirilina
Russian Federation
Nadezhda I. Kirilina - Cand. Sci. (Chem.), Leading Engineer, Scopus Author ID 57193056863.
38, Entuziastov shosse, Moscow, 111123
Competing Interests:
The authors declare that there is no conflict of interest
D. E. Mironov
Russian Federation
Denis E. Mironov - Postgraduate Student, K.A. Andrianov Department of Chemistry and Technology of Organoelement Compounds, M.V. Lomonosov Institute of Fine Chemical Technologies.
86, Vernadskogo pr., Moscow, 119571
Competing Interests:
The authors declare that there is no conflict of interest
References
1. Andrianov K.A., Khananashvili L.M. Tekhnologiya elementoorganicheskikh monomerov i polimerov (Technology of Organoelement Monomers and Polymers). Moscow: Khimiya; 1973. 400 p. (in Russ.).
2. Sobolevskii M.V., Muzovskaya O.A., Popeleva G.S. Svoistva i oblasti primeneniya kremniiorganicheskikh produktov (Properties and Applications of Organosilicon Products). Moscow: Khimiya; 1975. 296 p. (in Russ.).
3. Gerasimov D.M., Iluhina M.A., Glazov P.A. Low-molecular organosilicone rubbers in sealant compositions. Trudy VIAM = Proceedings of VIAM. 2020;90(8):35–45 (in Russ.). https://doi.org/10.18577/2307-6046-2020-0-8-35-45
4. Smyslova R.A., Kotlyarova S.V. Spravochnoe posobie po germetiziruyushchim materialam na osnove kauchukov (A Guide to Rubber Based Sealing Materials). Moscow: Khimiya; 1976. 72 p. (in Russ.).
5. Severnyi V.V., Minasyan R.M., Makarenko I.A., Biryuzova N.M. The mechanism of “cold-curing” low molecular weight polyorganosiloxane rubbers. Polym. Sci. U.S.S.R. 1976;18(6):1464–1471. https://doi.org/10.1016/0032-3950(76)90342-7 [Original Russian Text: Severnyi V.V., Minasyan R.M., Makarenko I.A., Biryuzova N.M. The mechanism of “cold-curing” low molecular weight polyorganosiloxane rubbers. Vysokomolekulyarnye soedineniya. Ser. A. 1976;18(6):1276–1281 (in Russ.).]
6. Karlin A.V., Reikhsfeld V.O., Kagan E.G. Khimiya i tekhnologiya kremniiorganicheskikh elastomerov (Chemistry and Technology of Organosilicon Elastomers). Leningrad: Khimiya; 1973. 176 p. (in Russ.).
7. Meals R.N., Lewis F.M. Silikony (Silicones): transl. from Engl. Moscow: Khimiya; 1964. 256 p. (in Russ.).[Meals R.N., Lewis F.M. Silicones. NY.: Reinhold Publ. Corp.; 1959. 296 p.].
8. Degussa-Silicas for HTV-Silicone Rubber. Technical Bulletin Pigments No. 12. Degussa AG. 2008.
9. Dolgov O.N., Voronkov M.G., Grinblat M.P. Kremniiorganicheskie zhidkie kauchuki i materialy na ikh osnove (Organosilicon Liquid Rubbers and Materials Based on them). Leningrad: Khimiya; 1975. 112 p. (in Russ.).
10. Severnyi V.V., Minasyan R.M., Minasyan O.I. Effect of organofunctional organosilicon crosslinking agents on the rate of cure of α,ɷ-hydroxypolydimethylsiloxanes. Polym. Sci. U.S.S.R. 1977;19(7):1775–1783. https://doi.org/10.1016/0032-3950(77)90191-5 [Original Russian Text: Severnyi V.V., Minasyan R.M., Minasyan O.I. Effect of organofunctional organosilicon crosslinking agents on the rate of cure of α,ɷ-hydroxypolydimethylsiloxanes. Vysokomolekulyarnye soedineniya. Ser. A. 1977;19(7):1549–1555 (in Russ.).]
11. Pocius A.V. Klei, adgeziya, tekhnologiya skleivaniya (Adhesives, Adhesion, Bonding Technology): transl. from Engl.; Komarov G.V. (Ed.). St. Petersburg: Professiya; 20167. 384 p. (in Russ.). [Pocius A.V. Adhesion and Adhesives Technology: An Intriduction. München; Cincinnati, OH: Carl Hanser Gardener Verlag GmbH & Co; 2012. 386 p.]
12. Schatz M. Silikonovyi kauchuk (Silicone Rubber): transl. from Czech. Leningrad: Khimiya; 1975. 192 p. (in Russ.). [Schatz M. Silikonový Kaučuk. Praha: SNTL-Nakladatelstvi Technickě Literatury; 1971 (in Czech.).]
13. Sakamoto T., Arai M., Miyoshi K. Vulcanizable Organopolysiloxane Composition: USA Pat. 5371116. Publ. 06.12.1994.
14. Kodolov V.I. Zamedliteli goreniya polimernykh materialov (Flame Retardants of Polymeric Materials). Moscow: Khimiya; 1980. 269 p. (in Russ.).
15. Mikhailin Yu.A. Konstruktsionnye polimernye kompozitsionnye materialy (Structural Polymeric Composite Materials). St. Petersburg: Nauchnye osnovy i tekhnologii; 2010. 820 p. (in Russ.). ISBN 978-5-91703-003-6
16. Chaykun A.M., Venediktova M.A., Bryk Ya.A. Development of the compounding of rubber extremely high heat resistance with temperature range of exploitation from the −60 to +500℃. Trudy VIAM = Proceedings of VIAM. 2019;73(1):21–30 (in Russ.). https://doi.org/10.18577/2307-6046-2019-0-1-21-30
17. Semenova S.N., Chaykun A.M. Highly heat-resistant silicone rubber compositions (review). Trudy VIAM = Proceedings of VIAM. 2020;93(11):31–36 (in Russ.). https://doi.org/10.18577/2307-6046-2020-0-11-31-37
18. Goldin G.S., Fedorov S.G., Kravtsova S.F. Antipireny i ogranichenno goryuchie materialy na osnove oligoi polifosfazenov (Flame Retardants and Limited Combustible Materials Based on Oligoand Polyphosphazenes). Moscow: NIITEKhIM; 1988. 35 p. (in Russ.).
19. Ninomiya K., Kamiya M. Heat-Resistant Silicone Rubber Composition and its Molded Product: Japan Pat. JP2001348481A. Publ. 18.12.2001.
20. Ninomiya K., Kamiya M. Heat-Resistant Silicone Rubber Composition and Molded Article Obtained by Curing the Composition: Japan Pat. JP2002220532A. Publ. 09.08.2002.
21. Chernyshev E.A., Belyakova Z.V., Knyazeva L.K. Aminopropiltrietoksisilan (poluchenie, svoistva, oblasti primeneniya) (Aminopropyltriethoxysilane (Obtaining, Properties, Applications)). Overview Information. Series “Organoelement Compounds and Their Applications.” Moscow: NIITEKhIM; 1985. 32 p. (in Russ.).
22. Varlamova N.V., Sunekants T.I., Kotrikadze E.L., Kirilin A.D., Severnyi V.V., Khananashvili L.M., Sheludyakov V.D. Organo(diethylcarbaminoxy)silanes – hardeners for polyorganosiloxane resins. Soobshcheniya Akademii nauk Gruzinskoi SSR = Bulletin of the Georgian Academy of Sciences of the SSR. 1981;104:5356 (in Russ.).
Supplementary files
|
|
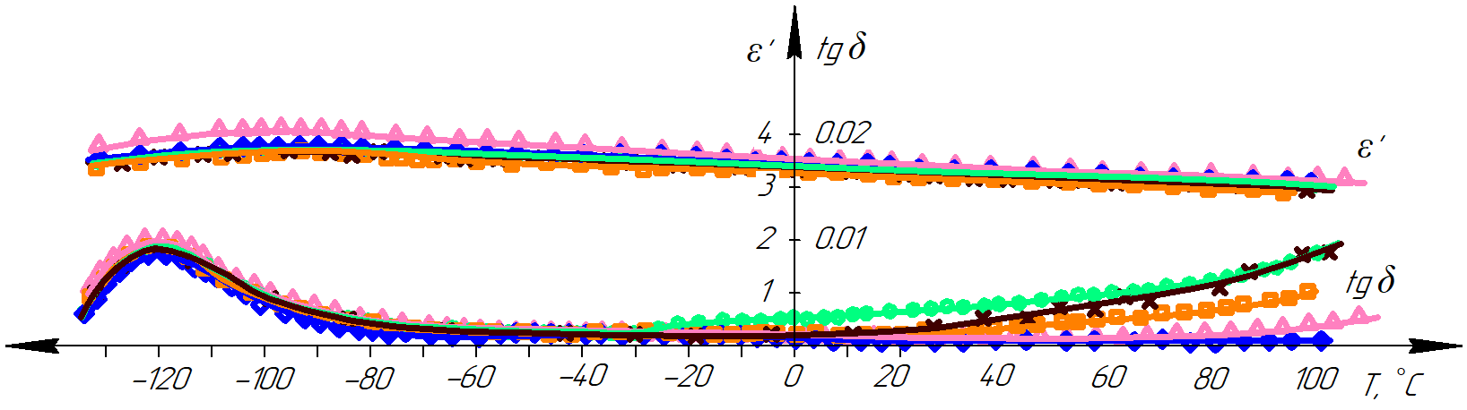
1. Temperature dependence of tgδ and ɛ' on the type of hardener at a frequency of 1000 Hz | |
| Subject | ||
| Type | Исследовательские инструменты | |
View
(30KB)
|
Indexing metadata ▾ | |
- Previously unknown substances and compounds containing nitrogen-containing organosilicon products as components of the curing composition were obtained. Their physicomechanical and operational properties were examined, including the possibility of using them as filling heat-resistant and fire-resistant compositions for sealing high-voltage and high-frequency equipment.
- It was shown that nitrogen-containing organosilicon compounds—3-(diethylamino)-2-[(triethoxysilyl)oxy]propyl-2-methacrylate and triethoxysilyl ester of γ-triethoxysilylpropyl-carbamic acid—can be used as part of a curing system together with bromine-containing fillers, in order to obtain compounds used for filling high-voltage high-frequency transformers, throttle valves, and other electronic equipment elements with non-combustible properties and increased heat resistance.
Review
For citations:
Kirilin A.D., Belova L.O., Golub N.A., Pletneva M.V., Kirilina N.I., Mironov D.E. Using nitrogen-containing organosilicon compounds in the creation of heat- and fire-resistant filling compositions to seal high-voltage and high-frequency equipment. Fine Chemical Technologies. 2024;19(4):293-309. https://doi.org/10.32362/2410-6593-2024-19-4-293-309. EDN: ZVSAGK
JATS XML






















