Transmission coefficients of superconducting particles
https://doi.org/10.32362/2410-6593-2021-16-2-184-191
Abstract
Objectives. There is no general theory of superconductivity capable of fully describing this phenomenon, which imposes its own difficulties in the search for new superconducting materials, as well as in the study of their properties. In particular, the electrodynamics of a superconducting system is unexplored. With the aim of a possible further description of the electrodynamics of superconductors, the temperature dependences of the energy parameters of a Cooper pair in the potential field of Abrikosov vortex were analyzed.
Methods. The basis for the obtained results of the work was the consideration of the transmission coefficient for a superconducting particle in the approximation of the Wentzel– Kramers–Brillouin method, as well as the relationship between the critical temperature and the London penetration depth and the coherence length based on the model of plasmon destruction of the superconducting state.
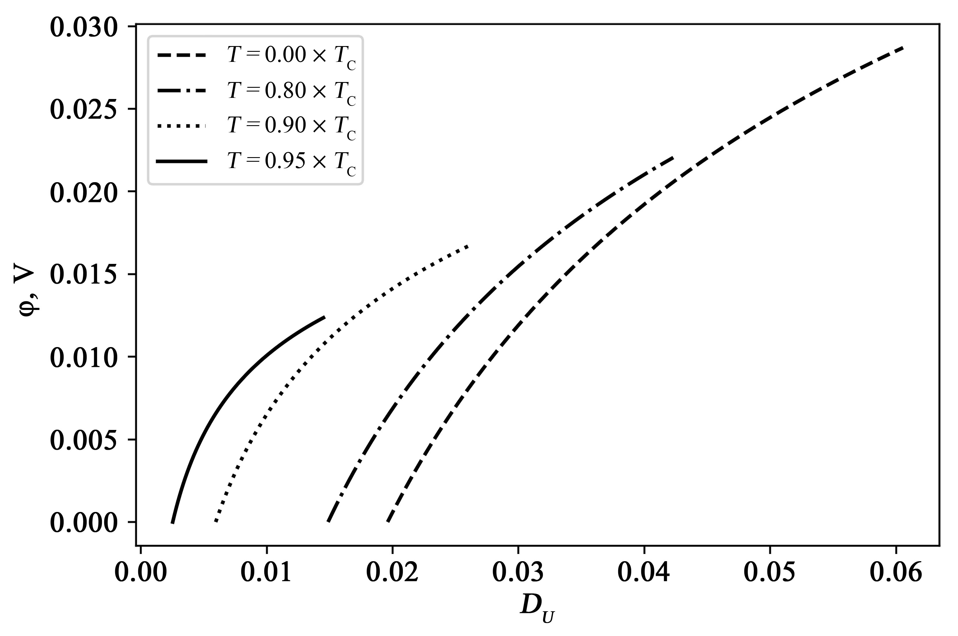
Results. The dependences of the lifetime of a particle in a potential well, penetration depth, frequency of impacts of a particle against a potential barrier, blurring of the energy level, transmission coefficient, and potential and kinetic energy of a particle on temperature were obtained. The characteristic values of these parameters were obtained at absolute zero for various cuprate, organic, and other superconducting materials. The dependences of the critical electric potential on temperature, as well as the London penetration depth, coherence length, and electric potential on the transmission coefficient at different temperatures were obtained. The form of the dependences qualitatively corresponds to the experimental data.
Conclusions. The results obtained can be used to construct a general theory of superconductivity, describe the electrodynamics of a superconducting state, and develop new superconductors with higher critical currents.
About the Authors
A. V. MatasovRussian Federation
Postgraduate Student, Department of Physics and Technology of Electrotechnical Materials and Components, Institute of Electrical Engineering and Electrification,
14, Krasnokazarmennaya ul, Moscow, 111250
A. A. Dovmalov
Russian Federation
Student, Department of Physics and Technology of Electrotechnical Materials and Components, Institute of Electrical Engineering and Electrification,
14, Krasnokazarmennaya ul., Moscow, 111250
D. M. Babyshkina
Russian Federation
Student, Department of Physics and Technology of Electrotechnical Materials and Components, Institute of Electrical Engineering and Electrification,
14, Krasnokazarmennaya ul., Moscow, 111250
References
1. Abrikosov A.A. The magnetic properties of superconducting alloys. J. Phys. Chem. Solids. 1957;2(3):199–208. https://doi.org/10.1016/0022-3697(57)90083-5
2. Matsushita T. Flux Pinning in Superconductors. Part of the Springer Series in Solid-State Sciences book series. V. 178. Springer-Verlag Berlin Heidelberg; 2014. 475 p. https://doi.org/10.1007/978-3-642-45312-0
3. Mourachkine A. High-Temperature Superconductivity in Cuprates. The Nonlinear Mechanism and Tunneling Measurements. Part of the Fundamental Theories of Physics book series. V. 125. Kluwer Academic Publishers; 2002. 317 p. https://doi.org/10.1007/0-306-48063-8
4. Matasov A.V., Cherkasov A.P., Kholodny D.S. and Mikhaylov I.A. Cooper Pair in the Potential Field of Abrikosov Vortex. In: 2020 International Youth Conference on Radio Electronics, Electrical and Power Engineering (REEPE). Moscow, Russia; 2020. 4 p. https://doi.org/10.1109/REEPE49198.2020.9059113
5. Schmidt V.V., Müller P., Ustinov A.V. The Physics of Superconductors: Introduction to Fundamentals and Applications. Springer-Verlag Berlin Heidelberg; 1997. 207 p. https://doi.org/10.1007/978-3-662-03501-6
6. Davydov A.S. Quantum Mechanics. 2nd ed. Oxford, New York: Pergamon Press; 1976. 637 р.
7. Matasov A.V. Prediction of the critical temperature of unconventional superconductors based on the plasmon mechanism. In: AIP Conference Proceedings. 2019;2163(1):020005. https://doi.org/10.1063/1.5130084
8. Ципенюк Ю.М. Физические основы сверхпроводимости. М.: Изд-во МФТИ: Физматкнига; 2003; 158 с. ISBN 5-89155-099-7 [Tsipenyuk Yu.M. Fizicheskie osnovy sverkhprovodimosti (Physical foundations of superconductivity). Moscow: MIPT Publishing House: Fizmatkniga; 2003; 158 р. ISBN 5-89155- 099-7]
9. Kleiner R., Buckel W. Superconductivity: An Introduction. Germany: Wiley-VCH Verlag GmbH and Co; 2016. 496 p.
10. Wang Z., Shi W., Lortz R., Sheng P. Superconductivity in 4-Angstrom carbon nanotubes – a short review. Nanoscale. 2012;4(1):21–41. https://doi.org/10.1039/C1NR10817D
11. Talantsev E.F., Crump W.P., Tallon J.L. Universal scaling of the self-field critical current in superconductors: from sub-nanometre to millimetre size. Sci. Rep. 2017;7(1):10010. https://doi.org/10.1038/s41598-017-10226-z
12. Prozorov R., Giannetta R.W. TOPICAL REVIEW: Magnetic penetration depth in unconventional superconductors. Supercond. Sci. Technol. 2006;19(8):R41–R67. https://doi.org/10.1088/0953-2048/19/8/R01
13. Ozkan H., Topal U., Gasanly N.M., Albiss B., Kayed T. Voltage-current characteristics of the thallium-based ceramic superconductors. Supercond. Sci. Technol. 1999;12(9):592. https://doi.org/10.1088/0953-2048/12/9/303
14. Sun Y., Zhao W., Wang J. et al. Voltage-current properties of superconducting amorphous tungsten nanostrips. Sci. Rep. 2013;3:2307. https://doi.org/10.1038/srep02307
15. Original Article. Ambegaokar V., Baratoff A. Tunneling Between Superconductors. Phys. Rev. Lett. 1963;10(11):486. https://doi.org/10.1103/PhysRevLett.10.486
16. Erratum. Ambegaokar V., Baratoff A. Tunneling Between Superconductors. Phys. Rev. Lett. 1963;11(2):104. https://doi.org/10.1103/PhysRevLett.11.104
Supplementary files
|
|
1. Fig. 5. Dependence of the electric potential on the transmission coefficient at different temperatures for YBa2Cu3O7. | |
| Subject | ||
| Type | Исследовательские инструменты | |
View
(400KB)
|
Indexing metadata ▾ | |
|
|
2. This is to certify that the paper titled Transmission coefficients of superconducting particles commissioned to us by Anton V. Matasov, Armen A. Dovmalov, Daria M. Babyshkina has been edited for English language and spelling by Enago, an editing brand of Crimson Interactive Inc. | |
| Subject | CERTIFICATE OF EDITING | |
| Type | Other | |
View
(194KB)
|
Indexing metadata ▾ | |
The dependence of the critical electric potential on the transmission coefficient was obtained and qualitatively matched the current-voltage characteristics of superconducting materials. The temperature dependences of many energy parameters for the Cooper pair in the Abrikosov vortex field were obtained, which can be used to construct a general theory of superconductivity and to describe the electrodynamics of superconductors.
Review
For citations:
Matasov A.V., Dovmalov A.A., Babyshkina D.M. Transmission coefficients of superconducting particles. Fine Chemical Technologies. 2021;16(2):184-191. https://doi.org/10.32362/2410-6593-2021-16-2-184-191
JATS XML






















