The reactivity of cinnamic acid derivatives as lignin precursors
https://doi.org/10.32362/2410-6593-2020-15-4-7-13
Abstract
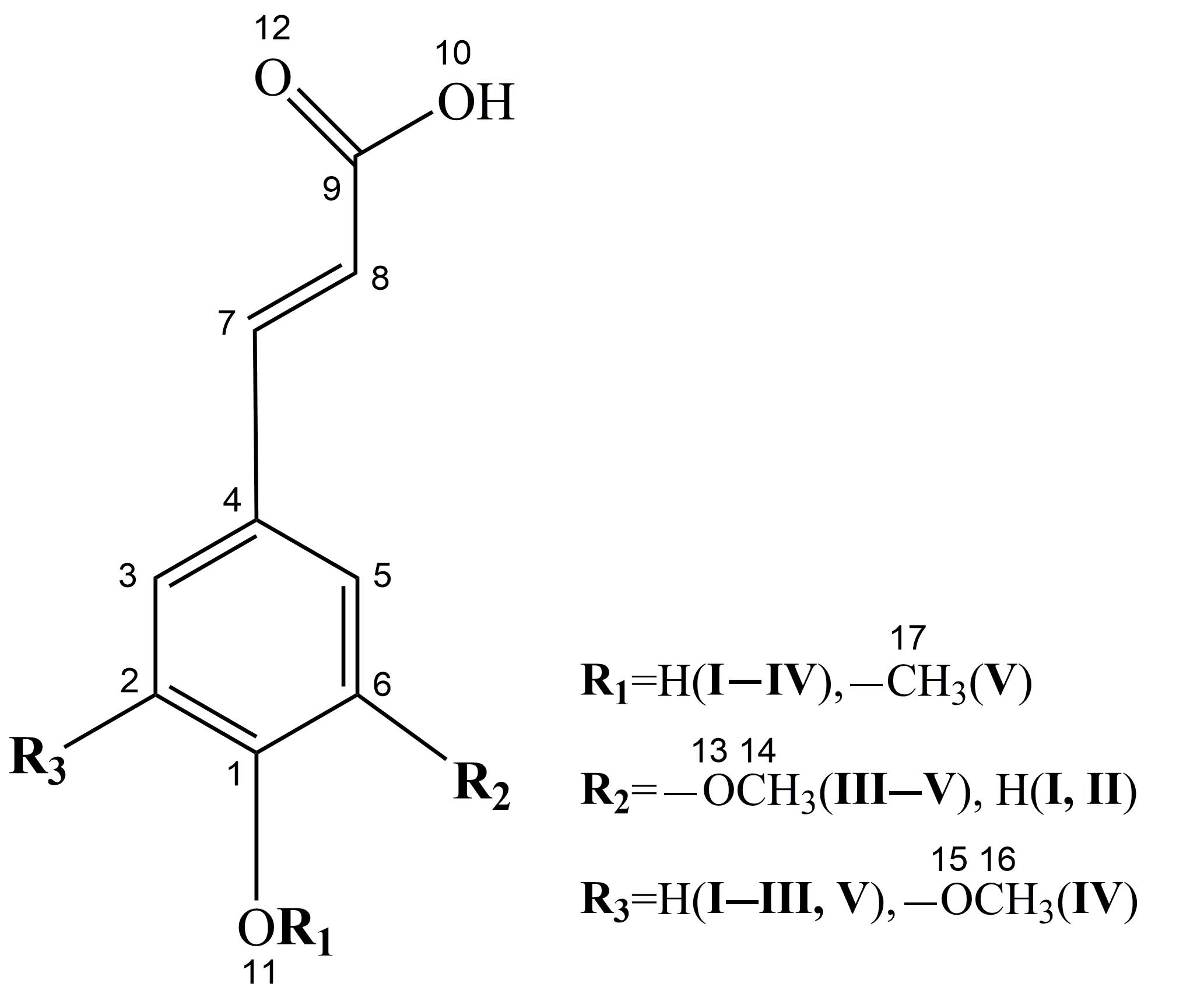
Objectives. Cinnamic acid derivatives belong to a large class of phenolic compounds, which are widely distributed in plants and have high potential for use in the medical and industrial fields. They have various useful practical properties, e.g., antioxidant, anti-inflammatory, antiplatelet, and anti-melanogenic properties. Hydroxycinnamic acids are of particular interest as phenylpropanoids, which are the starting compounds of lignin. The aim of this work was to study the electronic structure and analyze the reactivity of the simplest representatives of phenylpropanoids formed during the biosynthesis of the coumaric (p-hydroxycinnamic), caffeic (3,4-dihydroxycinnamic), ferulic (3-methoxy-4-hydroxycinnamic), sinapic (3,5-dimethoxy-4- hydroxycinnamic), and 3,4-dimethoxycinnamic acids. These acids are the biogenetic precursors of most other phenolic compounds (coumarins, melanins, lignins, and flavonoids) and are found in almost all higher plants.
Methods. Calculations with full optimization of the geometric parameters were performed using the original Hartree–Fock theory and hybrid density functional method. All calculations were performed using the Firefly program.
Results. A comparative quantum chemical calculation of the geometric parameters of hydroxycinnamic acid molecules was conducted via two methods, and the values of the charges on atoms according to Mulliken were determined. It was found that with the addition of hydroxyl and methoxy substituents at the meta and para positions relative to the carboxyl fragment, the electron density shifts toward the benzene ring, and the symmetry of the molecule decreases. Additionally, in these structures, there is π,π-conjugation of the carboxyl fragment of the –СН=СНСООН molecule with the aromatic ring, which significantly affects the geometric configuration of the molecule. The maximum positive charge is concentrated on the C9 atom, while the maximum negative charge is on the oxygen atoms belonging to the methoxy substituents and the hydroxyl group, which confirms the role of oxygen atoms in the chemical transformations of acids.
Conclusions. Two different methods were used to calculate the geometric, electronic, and energy parameters and electrophilicity indices of the studied hydroxycinnamic acids in the gas phase. The obtained values were consistent (within the limits of error) with the experimental data as well as the results described in earlier works’ calculations by other methods.
Keywords
About the Authors
O. K. KarimovRussian Federation
Oleg K. Karimov, Cand. of Sci. (Engineering), Associate Professor
1, Kosmonavtov ul., Ufa, 450062
G. Y. Kolchina
Russian Federation
Galina Y. Kolchina, Cand. of Sci. (Chemistry), Associate Professor
49, Lenina pr., Sterlitamak, 453103
G. A. Teptereva
Russian Federation
Galina A. Teptereva, Dr. of Sci. (Engineering), Associate Professor
1, Kosmonavtov ul., Ufa, 450062
I. A. Chetvertneva
Russian Federation
Irina A. Chetvertneva, Cand. of Sci. (Engineering)
5, Vavilova ul., Moscow, 119330
E. K. Karimov
Russian Federation
Eduard K. Karimov, Cand. of Sci. (Engineering), Associate Professor
1, Kosmonavtov ul., Ufa, 450062
A. R. Badretdinov
Russian Federation
Almaz R. Badretdinov, Postgraduate Student
1, Kosmonavtov ul., Ufa, 450062
References
1. Guan X.-Q., Mao J.-L., Tang Y.-X., Wang J.-H., Sun R. Research progress on pharmacological effects of p-coumaric acid. Chinese Traditional and Herbal Drugs. 2018;49(17):4162-4170. http://dx.doi.org/10.7501/j.issn.0253-2670.2018.17.030
2. Santos-Sánchez N.M., Salas-Coronado R., VillanuevaCañongo C., Hernández-Carlos B. Antioxidant Compounds and Their Antioxidant Mechanism. Antioxidants. IntechOpen. 2019. http://dx.doi.org/10.5772/intechopen.85270
3. Birkova A., Hubková B., Bolerázska B., Mareková M., Čižmárová B. Caffeic acid: a brief overview of its presence, metabolism, and bioactivity. Bioactive Compounds in Health and Disease. 2020;3(4):74-81. http://dx.doi.org/10.31989/bchd.v3i4.692
4. Karimov O.K., Kolchina G.Y., Movsumzade E.M. The study of the reactivity of derivatives of hydroxycinnamic alcohol as model compounds of lignin. Butlerov Communications. 2020;61(1):33-39 (in Russ.).
5. Urbaniak A., Molski M., Szeląg M. Quantum-chemical calculations of the antioxidant properties of trans-p-coumaric acid and trans-sinapinic acid. Computational methods in science and technology. 2012;18(2):117-128. http://dx.doi.org/10.12921/cmst.2012.18.02.117-128
6. Kumar N., Pruthi V., Goel N. Structural, thermal and quantum chemical studies of p-coumaric and caffeic acids. J. of Molecular Structure. 2015;1085:242-248. http://dx.doi.org/10.1016/j.molstruc.2014.12.064
7. Mashenceva A.A., Seitembetov T.S. The Study of the “Structure-Activity” Relationship For a Cinnamic Acid Derivative. Journal of Siberian Federal University. Chemistry. 2010;2(3):183-192 (in Russ.).
8. Schmidt M.W., Baldridge K.K., Boatz J.A., Elbert S.T., Gordon M.S., Jensen J.H., Koseki S., Matsunaga N., Nguyen K.A., Su S., Windus T.L., Dupuis M., Montgomery J.A. General Atomic and Molecular Electronic Structure System. Comput. Chem. Eng. 1993;14:1347-1363.
9. Yang W., Mortier W. The use of global and local molecular parameters for the analysis of the gas-phase basicity of amines. J. Amer. Chem. Soc. 1986;108:5708-5711.
10. Cioslowski J., Martinov M., Mixon S.T. Atomic Fukui indexes from the topological theory of atoms in molecules applied to Hartree-Fock and correlated electron densities. J. Phys. Chem. 1993;97:10948-10951.
11. Wei K., Luo S.-W., Fu Y., Lu L., Guo Q.-X. A theoretical study on bond dissociation energies and oxidation potentials of monolignols. J. Mol. Struct.-Theochem. 2004;712:197-205.
12. Funk A.A., Korenek V.V. Electrophilic indices of monolignols – model compounds of lignin. Khimiya Rastitel՚nogo Syr՚ya. 2008;3:39-44 (in Russ.).
13. Chen C. Sinapic Acid and Its Derivatives as Medicine in Oxidative Stress-Induced Diseases and Aging. Oxidative Medicine and Cellular Longevity. 2016; article 3571614. https://doi.org/10.1155/2016/3571614
Supplementary files
|
|
1. Structural formulas of hydroxycinnamic acids. | |
| Subject | ||
| Type | Исследовательские инструменты | |
View
(87KB)
|
Indexing metadata ▾ | |
|
|
2. This is to certify that the paper titled The reactivity of cinnamic acid derivatives as lignin precursors commissioned to us by Oleg K. Karimov, Galina Y. Kolchina, Galina A. Teptereva, Irina A. Chetvertneva, Eduard K. Karimov, Almaz R. Badretdinov has been edited for English language and spelling by Enago, an editing brand of Crimson Interactive Inc. | |
| Subject | CERTIFICATE OF EDITING | |
| Type | Other | |
View
(268KB)
|
Indexing metadata ▾ | |
- A quantum chemical calculation of the geometric parameters of hydroxycinnamic acid molecules (coumaric, caffeic, ferulic, sinapic, and 3,4-dimethoxycinnamic acids) was performed using the limited Hartree–Fock and hybrid density functional methods.
- It was shown that when hydroxyl and methoxy substituents are introduced into the meta and para positions relative to the carboxyl fragment, the electron density shifts toward the benzene ring, and, as a result, the molecular symmetry decreases.
- For all compounds, the maximum positive charge is concentrated on the carbon atom of the carbonyl group, while the maximum negative charge is on the oxygen atoms belonging to the methoxy substituents and hydroxyl group, which confirms the role of oxygen atoms in the chemical transformations of acids.
Review
For citations:
Karimov O.K., Kolchina G.Y., Teptereva G.A., Chetvertneva I.A., Karimov E.K., Badretdinov A.R. The reactivity of cinnamic acid derivatives as lignin precursors. Fine Chemical Technologies. 2020;15(4):7-13. https://doi.org/10.32362/2410-6593-2020-15-4-7-13






















