Relaxation and physicomechanical characteristics of polyethylenes with different molecular weights
https://doi.org/10.32362/2410-6593-2019-14-6-104-114
Abstract
Objectives. Determination of the influence of molecular weight on the modulus of elasticity, yield, strength, and retardation processes in polyethylene.
Methods. We used vane samples (thickness: 4 mm; length: 100 mm; width.: 10 mm) made by injection molding at p = 60 MPa, T = 210 °C, τ = 15 s from the following polyethylenes: HDPE 27773 (Stavrolen, Lukoil, Russia); BorSafe HE3490-IM (Borealis, Austria; black); CRP 100 Hostalen (Basell Polyolefins, Netherlands; black); Stavrolen PE4PP-25B (Stavrolen, Lukoil, Russia; black). The samples were in accordance with the defined standards for the AL 7000 LA-5 tensile testing machine. The study of relaxation characteristics was carried out in two modes: relaxation and retardation.
Results. We obtained stress-strain diagrams at various temperatures under isothermal conditions (T = const) and determined the influence of polyethylene molecular weights on the modulus of elasticity, yield, and strength of polyethylenes. We have shown that under isothermal conditions, when the stress equals the yield strength, the removal of the external action results in a two-stage response. The first stage is the stress relaxation. The second stage characterizes the elastic features of the studied materials under the external action ε = const.
Conclusions. We have established that temperature increase affects the physicomechanical characteristics of polyethylenes differently, depending on their molecular weights. The experiments have shown that when the stress exceeds the yield strength, at constant deformation, there is a complex response of the polyethylenes to external action. This response is characterized by two stress stages throughout the course of time. The first stage is characterized by asymptotic decrease in stress down to a constant value; the second stage is characterized by constant stress throughout the course of time. We have determined relaxation times for the relaxation stage (stage I) and calculated activation energy. We have also established that the activation energy depends on molecular weights of the polyethylenes. It has been shown that an increase in polyethylene molecular weight leads to a decrease in relaxation time and activation energy.
Keywords
About the Authors
R. A. AlekhinaRussian Federation
Raisa A. Alekhina - Student, Department of Chemistry and Technology of Plastics and Polymer Composites Processing.
86, Vernadskogo pr., Moscow 119571Competing Interests: not
V. A. Lomovskoy
Russian Federation
Viktor A. Lomovskoy - Dr. of Sci. (Physics and Mathematics), Professor of the Department of Chemistry and Technology of Plastics and Polymer Composites Processing, M.V. Lomonosov IFCT, RTU; Head of the Laboratory of Structure Formation in Dispersed Systems, A.N. Frumkin IPC E, RAS
86, Vernadskogo pr., Moscow 119571; 31, Leninskii pr., Moscow 119071
Competing Interests: not
I. D. Simonov-Emel’yanov
Russian Federation
Igor D. Simonov-Emel’yanov - Dr. of Sci. (Engineering), Professor, Head of the Department of Chemistry and Technology of Plastics and Polymer Composites Processing.
86, Vernadskogo pr., Moscow 119571Competing Interests: not
S. A. Shatokhina
Russian Federation
Svetlana A. Shatohina - Junior Researcher, Laboratory of Structure Formation in Dispersed Systems.
31, Leninskii pr., Moscow 119071Competing Interests: not
References
1. Connor T.M., Read B.E., Williams G. The dielectric, dynamic mechanical and nuclear resonance properties of polyethylene oxide as a function of molecular weight. J. Appl. Chem. 1964; 14(2):74-81. https://doi.org/10.1002/jctb.5010140204
2. Enns J. B., Simha R. Transitions in semicrystalline polymers. I. Poly(vinyl fluoride) and poly(vinylidene fluoride). J. Macromolec. Sci. Phys. 1977;13(1):11-24. https://doi.org/10.1080/00222347708208750
3. Bartenev G.M., Bartenev A.G. Relaxation transitions and molecular mobility in crystalline polymers containing methylene groups. Vysokomolekulyarnye soedineniya. Ser. A = Polymer Science. Ser. A. 1988;30(3):629-633 (in Russ.).
4. Lomovskoy V.A., Mazurina S.A., Simonov-Emel’yanov I.D., Kiselev R.R., Konstantinov N.Yu. Relaxation spectroscopy of polyethylenes with different molecular masses. Materialovedenie = Materials Science. 2018;(7):9-17 (in Russ.). http://dx.doi.org/10.31044/1684-579X-2018-0-7-9-17 (in Russ.)
5. Bartenev G.M, Barteneva A.G. Relaksatsionnye svoistva polimerov (Relaxation properties of polymers). Moscow: Khimiya; 1992. 384 p. (in Russ.). ISBN 5-72450371-9
6. Grashchenkov D.V., Chursova L.V Development strategy of composite and functional materials. Aviacionnye materialy i tekhnologii = Aviation Materials and Technologies. 2012;S: 231-242 (in Russ.).
7. Uayt Dzh. L., Choy D.D. Polyethylene, polypropylene and other polyolefins. Saint Petersburg: Professiya; 2006. 256 p. (in Russ.).
8. Marikhin V.A., Myasnikova L.P. Nadmolekulyarnaya struktura polietilenov (Supramolecular structure of polyethylene). Leningrad: Khimiya; 1977. 240 p. (in Russ.).
9. Larionov S.A., Deyev I.S., Petrova G.N., Beider E.Y. Effect of carbon fillers on the electrical, mechanical and rheological properties of polyethylene. Trudy VIAM = Proceedings of VIAM: electron. scientific tech. journ. 2013;(9): Article 4. URL: http://viam-works.ru (accessed April 20, 2016) (in Russ.).
10. Petrova G.N., Rumyantseva T.V, Perfilova D.N., Beider E.Y., Gryaznov VI. Thermoplastic elastomers - a new class of polymeric materials. Aviacionnye materialy i tekhnologii = Aviation Materials and Technologies. 2010;(S):20-25 (in Russ.).
11. Kuleznev V.N., Shershnev V.A. Khimiya i fizika polimerov (Chemistry and physics of polymers). 2nd ed. Moscow: Koloss; 2007. 367 p. (in Russ.). ISBN 978-5-95320466-8
12. Zhang M.C., Guo B., Xu J. A review on polymer crystallization theories. Crystals. 2017;7(1):4-37. https://doi.org/10.3390/cryst7010004
13. Li J.Y., Li W., Cheng H., Zhang L.N., Li Y., Han C.C. Early stages of nucleation and growth in melt crystallized polyethylene. Polymer. 2012;53(12):2315-2319. https://doi.org/10.1016/j.polymer.2012.03.054
14. Ivanov M.S., Kulesenev V.N., Method of mechanical spectroscopy of pipe grades of polyethylene. Trudy VIAM = Proceedings of VIAM. 2016;47(11):68-77 (in Russ.).
15. Shardakov I.N., Golotina L.A. Modeling of deformation processes in amorphous-crystalline polymers. Vychislitel’naya mekhanika sploshnykh sred = Computational Continuum Mechanics. 2009;2(3):106-113 (in Russ.).
Supplementary files
|
|
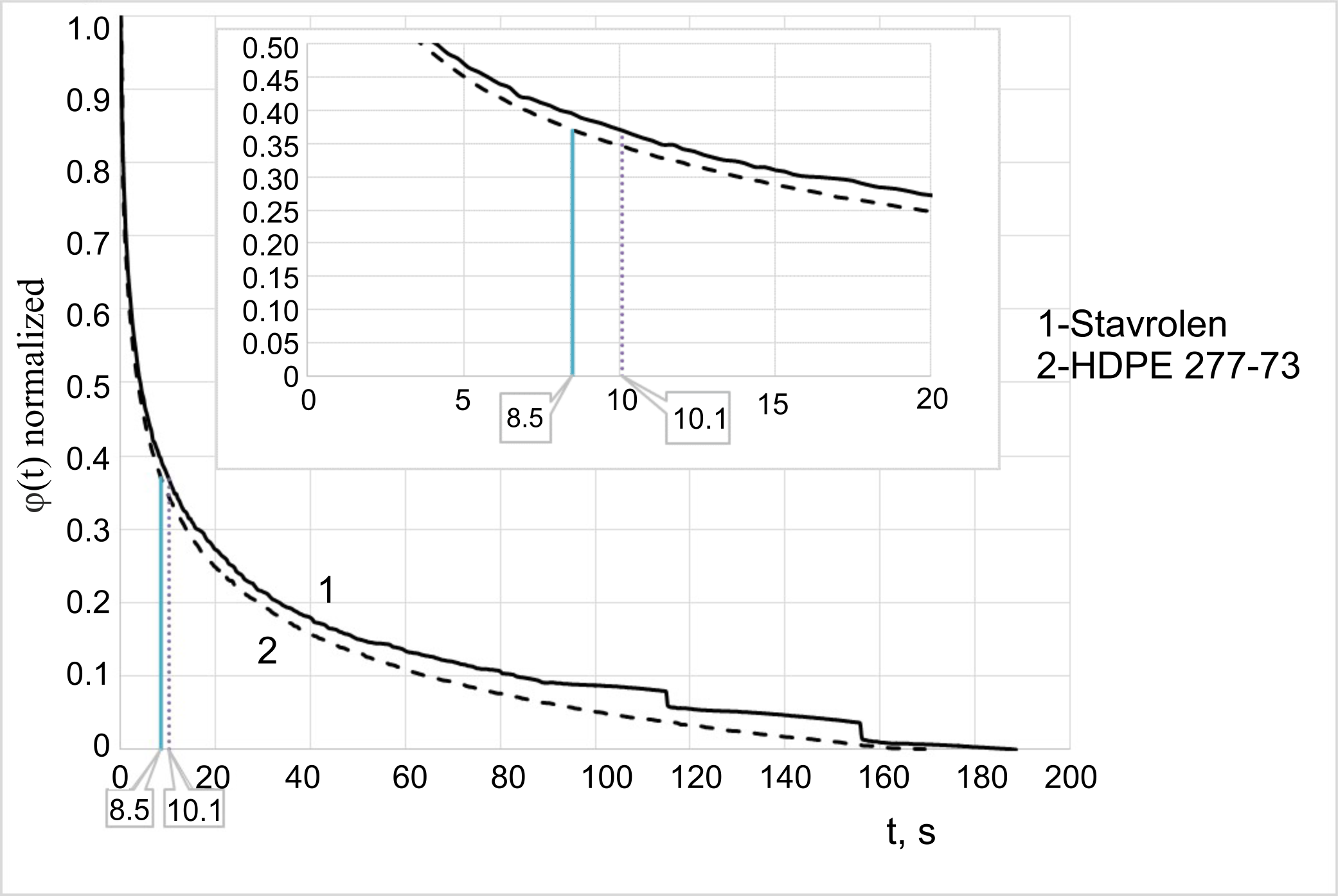
1. Fig. 6. Dependency of the normalized relaxation function on time, for PEs with MW = 75×104 g/mol (curve 1) and MW = 24×104 g/mol (curve 2) | |
| Subject | ||
| Type | Исследовательские инструменты | |
View
(305KB)
|
Indexing metadata ▾ | |
Review
For citations:
Alekhina R.A., Lomovskoy V.A., Simonov-Emel’yanov I.D., Shatokhina S.A. Relaxation and physicomechanical characteristics of polyethylenes with different molecular weights. Fine Chemical Technologies. 2019;14(6):104-114. https://doi.org/10.32362/2410-6593-2019-14-6-104-114





















