Novel polymer surfactants based on the branched silatrane-containing polyesters and polyethers
https://doi.org/10.32362/2410-6593-2019-14-5-61-70
Abstract
Objectives. Biologically active polymeric surfactants are a new promising class of macromolecules that can find application in medicine, cosmetology, and agriculture. In this study, a number of new biologically active amphiphilic polymers based on branched silatrane-containing polyesters and polyethers were obtained, and their surface-active properties were investigated.
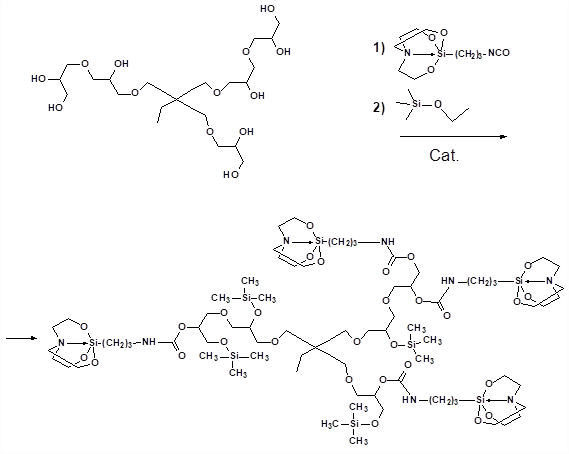
Methods. The branched polymers were represented by polyethers and polyesters, obtained respectively via the anionic polymerization of 1,2-epoxypropanol or a combination of equilibrium polycondensation and ring opening polymerization. The polymers were modified with 3-isocyanopropylsilatrane and trimethylethoxysilane to obtain the amphiphilic compounds containing silatrane groups bonded to the polymer backbone by the urethane bond. The structure of the synthesized polymer silatranes was confirmed via nuclear magnetic resonance spectroscopy and gel permeation chromatography. The surface active properties of all the copolymers obtained were investigated in connection with their obvious amphiphilicity. In particular, the formation of micelles in aqueous solutions is such a property. The critical micelle concentrations were determined by a method of quenching the fluorescence of the polymers.
Results. It was shown that the values of the critical micelle concentrations and the hydrophilic-lipophilic balance values of polymers determined by the Griffin equation correlate well with each other. A linear relationship between the hydrophilic-lipophilic balance and the critical micelle concentrations was established. At the same time, polyether-based polymers generally showed higher critical micelle concentrations than polyester-based polymers, although the hydrophilic-lipophilic balance values for polymers of different series, but with close degrees of substitution, were close. It was found that the use of all synthesized polymers as stabilizers of direct and reverse emulsions leads to an increase in the aggregative stability of both types of emulsions. The stability of emulsions depended both on the degree of substitution of peripheral hydroxyl groups of polymers by silatranes and on the molecular weight and structure of the branched block of polymers. The stability of direct emulsions increased for all polymers, while that of inverse emulsions decreased with an increasing degree of substitution of hydroxyl groups by silatranes. The increase of the branched block molecular weight led to an increase of droplet sizes for both direct and inverse emulsions. The smallest droplet size for direct and inverse emulsions was obtained using polymers with low molecular weight branched polyester blocks as surfactants.
Conclusions. The results obtained prove the possibility of creating polymer surfactants containing silatrane groups. By varying the structure of the polymer, its molecular weight and the degree of substitution of peripheral functional groups, it is possible to obtain surfactants with desired surface properties.
About the Authors
V. V. IstratovRussian Federation
Vladislav V. Istratov, Cand. of Sci. (Chemistry), Senior Researcher of the Laboratory of Heterochain Polymers
Scopus Author ID 17136964600, Researcher ID J-7017-2014
28, Vavilova ul., Moscow, 119991, Russia
Competing Interests:
The authors declare no conflict of interest.
V. I. Gomzyak
Russian Federation
Vitaly I. Gomzyak, Cand. of Sci. (Chemistry), Senior Lecturer of the Medvedev Chair of Chemistry and Technology of Macromolecular Compounds
Scopus Author ID 55841680300, Researcher ID E-4518-2017
86, Vernadskogo pr., Moscow, 119571, Russia
Competing Interests:
The authors declare no conflict of interest.
O. V. Yamskova
Russian Federation
Olga V. Yamskova, Cand. of Sci. (Chemistry), Researcher of the Laboratory of Heterochain Polymers
Scopus Author ID 56816874700
28, Vavilova ul., Moscow, 119991, Russia
Competing Interests:
The authors declare no conflict of interest.
G. D. Markova
Russian Federation
Gali D. Markova, Cand. of Sci. (Chemistry), Senior Researcher of the Laboratory of Heterochain Polymers
Scopus Author ID 7003815520
28, Vavilov ul., Moscow, 119991, Russia
Competing Interests:
The authors declare no conflict of interest.
L. G. Komarova
Russian Federation
Lyudmila G. Komarova, Cand. of Sci. (Chemistry), Senior Researcher of the Laboratory of Heterochain Polymers, A.N. Nesmeyanov Institute of Organoelement Compounds of the Russian Academy of Sciences
Scopus Author ID 7102405938
28, Vavilova ul., Moscow, 119991, Russia
Competing Interests:
The authors declare no conflict of interest.
B. A. Izmaylov
Russian Federation
Boris A. Izmaylov, Dr. of Sci. (Chemistry), Professor, Leading Researcher of the Laboratory of Heterochain Polymers
Scopus Author ID 24610651200
28, Vavilova ul., Moscow, 119991, Russia
Competing Interests:
The authors declare no conflict of interest.
V. A. Vasnev
Russian Federation
Valerii A. Vasnev, Dr. of Sci. (Chemistry), Professor, Head of the Laboratory of Heterochain Polymers
Scopus Author ID 7004556739
28, Vavilova ul., Moscow, 119991, Russia
Competing Interests:
The authors declare no conflict of interest.
References
1. Tamariz Е., Rios-Ramírez А. Biodegradation of Medical Purpose Polymeric Materials and Their Impact on Biocompatibility. In: Biodegradation – Life of Science. Ed. by Rolando Chamy. IntechOpen Ltd., London, 2013; pp. 3-29. [Electronic resource]. URL: https://www.intechopen.com/books/biodegradation-life-of-science/biodegradation-of-medical-purpose-polymeric-materials-and-their-impact-on-biocompatibility
2. Kumar N., Ravikumar M.N.V., Domb A.J. Biodegradable block copolymers. Adv. Drug Deliv. Rev. 2001;53(1):23-44. http://dx.doi.org/10.1016/S0169-409X(01)00219-8
3. Tian H., Tang Z., Zhuang X., Chen X., Jing X. Biodegradable synthetic polymers: Preparation, functionalization and biomedical application. Prog. Polym. Sci. 2012;37(2):237-280. http://dx.doi.org/10.1016/j.progpolymsci.2011.06.004
4. Junginger H.E. Drug Targeting and Delivery: Concepts in Dosage Form Design. CRC Press, 1992. 300 p.
5. Ostroumov S.A. Biological Effects of Surfactants. CRC Press, 2005. 304 p.
6. El-Shahawi M.M., Shalaby A.A.S., Gabre A.M.E., Ghonim A.E.M. Surface active properties and biological activities of novel anionic surfactant based on oxapyridazinone derivatives. J. Surfact. Deterg. 2016:19(1):137-144. https://doi.org/10.1007/s11743-015-1756-9
7. Schreier S., Malheiros S.V.P., de Paula E. Surface active drugs: Self-association and interaction with membranes and surfactants. Physicochemical and biological aspects. Biochim. et Biophys. Acta. 2000;1508:210-234. http://dx.doi.org/10.1016/S0304-4157(00)00012-5
8. Pegiadou S.P. Synthesis, characterization and surface properties of 1-N-L-tryptophan glycerol ether surfactants. J. Surfact. Deterg. 2000;3(4):517-525. http://dx.doi.org/10.1007/s11743-000-0151-y
9. Amin M.S., Eissa A.M.F., Shaaban A.F., El-Sawy A.A., El-Sayed R. New heterocycles having double characters as antimicrobial and surface active agents. Part 2: Anionic compounds from fatty acid isothiocyanate. Ind. J. Chem. 2003;1:313-319.
10. Logine R.B. Pyrrolidone-based surfactants (a literature review). J. Am. Oil. Chem. Soc. 2003;72(7):759-771. https://doi.org/10.1007/BF02541023
11. Amin M.S., Eissa A.M.F., Shaaban A.F., El-Sawy A.A., El-Sayed R. New heterocycles having double characters as antimicrobial and surface active agents. Part 1: Nonionic compounds from fatty acid isothiocyanate. Grasas y Aceites [Fats and oils]. 2004;55(4):370-377. https://doi.org/10.3989/gya.2004.v55.i4.203
12. El-Sayed R., Wasfy A.A.F., Aly A.A. Synthesis of novel heterocycles with antimicrobial and surface activity. J. Heterocycl. Chem. 2005;42:125-130. https://doi.org/10.1002/jhet.5570420119
13. Mahfud R., Agag T., Ishida H., Shaikh S., Qutubuddin S. Synthesis and evaluation of novel anionic polymeric surfactants based on polybenzoxazines. J. Colloid Interface Sci. 2013; 407:339-347. http://dx.doi.org/10.1016/j.jcis.2013.06.042
14. Voronkov M.G., Zelcans G., Mazeika I. Silatranes: Intra-complex heterocyclic compounds of pentacoordinated silicon. Pure Appl. Chem. 1966;13(1-2):35-59. https://doi.org/10.1351/pac196613010035
15. Voronkov M.G., Baryshok V.P. Atranes as a new generation of biologically active substances. Her. Russ. Acad. Sci. 2010;80:514-521. https://doi.org/10.1134/S1019331610060079
16. Puri J. K., Singh R. Chahal V. K. Silatranes: A review on their synthesis, structure, reactivity and applications. Chem. Soc. Rev. 2011;40:1791-1840. https://doi.org/10.1039/B925899J
17. Lin Y., Song B., Han A., Hu S., Ye F., Xie Z. 2011. Synthesis of γ-arylmethylene-aminopropyl-3,7,10-trimethyl-silatrane derivatives and their activities of regulating plant growth. Phosphor Sulfur Silicon Relat. Elem. 2011;186(2):298-303. http://dx.doi.org/10.1080/10426507.2010.496747
18. Khankhodzhaeva D.A., Voronkov M.G. Effect of cresacin on the growth, development, and productivity of cotton plants. Doklady Akademii nauk SSSR = Dokl. Akad. Nauk. 1993;333:124-126.
19. Voronkov M.G., Dolmaa G., Tserenpil S., Ugtakhbayar O., Chimidtsogzol A. Stimulation of barley seed germination by micromolar aqueous solutions of silatrane and cresacin. Dokl. Biol. Sci. 2005;404(1):367-369. http://dx.doi.org/10.1007/s10630-005-0138-2
20. Burlakova E.B., Baikov P.Y., Papina R.I., Kartsev V.G. Bimodal effect of the picolinic acid derivatives on the rate of wheat and pea germination. Izvestia Akademii nauk SSSR. Seria biologiceskaa = Izv. Ross. Akad. Nauk. Ser. Biol. 1996;1:39-45.
21. Purification of Laboratory Chemicals. Ed. by Armarego W.L.E., Perrin D.D. Berlin: Buttleworth-Heinemann, 1998. 480 p.
22. Sunder A., Hanselmann R., Frey H., Mülhaupt R. Controlled synthesis of hyperbranched polyglycerols by ring-opening multibranching polymerization. Macromolecules. 1999;32(13):4240-4246. http://dx.doi.org/10.1021/ma990090w
23. Istratov V.V., Gomzyak V.I., Krupina T.V., Vasnev V.A., Chvalun S.N. Amphiphilic linear-branched copolylactides and disperse systems on their basis. Polym. Sci. B. 2017;59(6):730-736. http://dx.doi.org/10.1134/S156009041706001X
24. Dumitriu A.-M.-C., Cazacu M., Shova S., Turta C., Simionescu B.C. Synthesis and structural characterization of 1-(3-aminopropyl)silatrane and some new derivatives. Polyhedron. 2012;33(1):119. http://dx.doi.org/10.1016/j.poly.2011.11.014
25. Griffin W.C. Calculation of HLB values of non-ionic surfactants. J. Soc. Cosmet. Chem. 1954;5(4):249-256.
26. Istratov V.V., Kautz H., Kim Y.-K., Schubert R. Linear-dendritic nonionic poly(propylene oxide)–polyglycerol surfactants. Tetrahedron. 2003:59(22):4017-4024. http://dx.doi.org/10.1016/S0040-4020(03)00470-8
Supplementary files
|
|
1. The results obtained prove the possibility of creating polymer surfactants containing silatrane groups. By varying the structure of the polymer, its molecular weight and the degree of substitution of peripheral functional groups, it is possible to obtain | |
| Subject | ||
| Type | Исследовательские инструменты | |
View
(20KB)
|
Indexing metadata ▾ | |
Review
For citations:
Istratov V.V., Gomzyak V.I., Yamskova O.V., Markova G.D., Komarova L.G., Izmaylov B.A., Vasnev V.A. Novel polymer surfactants based on the branched silatrane-containing polyesters and polyethers. Fine Chemical Technologies. 2019;14(5):61-70. https://doi.org/10.32362/2410-6593-2019-14-5-61-70





















