Synthesis of Cationic and Ionizable Amphiphiles Based on Heminal Aminodiol as Potential siRNA Delivery Systems
https://doi.org/10.32362/2410-6593-2019-14-3-42-49
Abstract
Research methods based on the use of RNA interference mechanisms are now included among the basic methods of molecular biology. Drugs based on siRNA are being developed for the treatment of cancer, infectious diseases and other pathologies that are associated with impaired Junctions of specific genes. One of the main problems of siRNA-based drug development is their efficient and safe delivery to target cells. Modern delivery strategies are based on the use of chemical compounds or biological carriers, such as viruses. Lipid nanoparticles (liposomal agents) are the most advanced platform among non-viral vectors for the delivery of gene materials into cells. In this paper, a scheme has been proposed and the synthesis of new cationic amphiphiles has been carried out as the basis for the means of delivering siRNA to target cells. Synthesized amphiphiles belong to two types of cationic lipids: with a permanently charged amino group in the form of a salt and with an ionizable polar block. Ionized amphiphiles are a new generation of cationic lipids that exhibit reduced toxicity and immunogenicity. They undergo ionization only in the acidic environment of endosomes during intracellular transport in the cytosol, which leads to the release of the encapsulated cargo. The structure of the target compounds is based on diethanolamine derivatives, which is a spacer between the hydrophobic block and the polar fragment. The hydrophobic block contains palmitoyl residues, and the polar one - ethylenediamine and 3-diethylaminopropylamine derivatives. The developed synthetic scheme is distinguished by the simplicity and versatility of the proposed approach, which allows it to be used in the preparation of a series of samples in preparative quantities necessary for the subsequent physicochemical and biochemical studies.
About the Authors
Z. G. DenievaRussian Federation
Zaret G. Denieva - Master of the N.A. Preobrazhensky Chair of Chemistry and Technology of Biologically Active Compounds, Medical and Organic Chemistry
86, Vernadskogo pr., Moscow, 119571
Scopus Author ID 57203550055, ResearcherID T-5756-2019
Competing Interests: not
U. A. Budanova
Russian Federation
Ulyana A. Budanova - Ph.D. (Chemistry), Assistant of Professor of the N.A. Preobrazhensky Chair of Chemistry and Technology of Biologically Active Compounds, Medical and Organic Chemistry.
86, Vernadskogo pr., Moscow, 119571
Scopus Author ID 14622352500, ResearcherID E-1659-2014
Competing Interests: not
Yu. L. Sebyakin
Russian Federation
Yury L. Sebyakin - D.Sc. (Chemistry), Professor, Professor of the N.A. Preobrazhensky Chair of Chemistry and Technology of Biologically Active Compounds, Medical and Organic Chemistry.
86, Vernadskogo pr., Moscow, 119571
Scopus Author ID 6701455145, ResearcherID T-2835-2019
Competing Interests: not
References
1. Deichman A.M., Zinoviev S.V., Baryshnikov A.Yu. The gene expression and small RNAs in oncology. Rossiyskiy bioterapevticheskiy zhurnal [Russian Journal of Biotherapy]. 2009; 8(3):107-118. (in Russ.)
2. Farhood H., Gao X., Son K., Yang YY. Cationic liposomes for direct gene transfer in therapy of cancer and other diseases. Ann. N. Y. Acad. Sci. 1994; 716:23-34. https://doi.org/10.1111/j.1749-6632.1994.tb21701.x
3. Vaishnaw A.K., Gollob J., Gamba-Vitalo C., Hutabarat R. A status report on RNAi therapeutics. Silence. 2010; 1:14. https://doi.org/10.1186/1758-907X-1-14
4. Floch V., Loisel S., Guenin E., Herve A.C. Cation substitution in cationic phosphonolipids: A new concept to improve transfection activity and decrease cellular toxicity. J. Med. Chem. 2000; 43:4617-4628. https://doi.org/10.1021/jm000006z
5. Heyes J. A., Niculescu-Duvaz D., Cooper R.G., Springer C.J. Synthesis of novel cationic lipids: Effect of structural modification on the efficiency of gene transfer. J. Med. Chem. 2002; 45:99-114. https://doi.org/10.1021/jm010918g
6. Lin PJ., Tam Y.Y., Hafez I., Sandhu A., Chen S., Ciufolini M.A., Nabi I.R., Cullis PR. Influence of cationic lipid composition on uptake and intracellular processing of lipid nanoparticle formulations of siRNA. Nanomedicine. 2013; 9:233-246. https://doi.org/10.1016/j.nano.2012.05.019
7. Landesman-Milo D., Peer D. Toxicity Profiling of several common RNAi-based nanomedicines: A comparative study. Drug Delivery Transl. Res. 2014; 4:96-103. https://doi.org/10.1007/s13346-013-0158-7.
8. Peer D. Immunotoxicity derived from manipulating leukocytes with lipid-based nanoparticles. Adv. Drug Delivery Rev. 2012; 64:1738-1748. https://doi.org/10.1016/).addr.2012.06.013
9. Zhang J.-S., Li, F., Huang L. Implications of pharmacokinetic behavior of lipoplex for its inflammatory toxicity. Adv. Drug Delivery Rev. 2005; 57:689-698. https://doi.org/10.1016/j.addr.2004.12.004
10. Jones C.H., Chen C.K., Ravikrishnan A., Rane S., Pfeifer B.A. Overcoming nonviral gene delivery barriers: Perspective and future. Mol. Pharmaceutics. 2013; 10:40824098. https://doi.org/10.1021/mp400467x
11. Mui B., Ahkong Q.F., Chow L., Hope M.J. Membrane perturbation and the mechanism of lipid-mediated transfer of DNA into cells. Biochim. Biophys. Acta, Biomembr. 2000; 1467:281-292. https://doi.org/10.1016/S0005-2736(00)00226-1
12. Adami R.C., Seth S., Harvie P, Johns R., Fam R. An Amino acid-based amphoteric liposomal delivery system for systemic administration of siRNA. Mol. Ther. 2011; 19:11411151. https://doi.org/10.1038/mt.2011.56
13. Hafez I.M., Maurer N., Cullis P.R. On the mechanism whereby cationic lipids promote intracellular delivery of polynucleic acids. Gene Ther. 2001; 8:1188-1196. https://doi.org/10.1038/sj.gt.3301506
14. Semple S.C., Klimuk S.K., Harasym T.O. Efficient encapsulation of antisense oligonucleotides in lipid vesicles using ionizable aminolipids: Formation of novel small multilamellar vesicle structures. Biochim. Biophys. Acta, Biomembr. 2001; 1510:152-166. https://doi.org/10.1016/S0005-2736(00)00343-6
15. Heyes J., Palmer L., Bremner K., MacLachlan I. Cationic lipid saturation influences intracellular delivery of encapsulated nucleic acids. J. Controlled Release. 2005; 107:276-287. https://doi.org/10.1016/jjconrel.2005.06.014
16. Ramaswamy S., Tonnu N., Tachikawa K., Limphong P., Vega J.B. Systemic delivery of factor IX messenger RNA for Protein replacement therapy. Proc. Natl. Acad. Sci. U. S. A. 2017; 114:1941-1950. https://doi.org/10.1073/pnas.1619653114
17. Yanagi T., Tachikawa K., Wilkie-Grantham R., Hishiki A. lipid nanoparticle-mediated siRNA transfer against PCTAIRE1/PCTK1/ CDK16 inhibits in vivo cancer growth. Mol. Ther. -Nucleic Acids. 2016; 5:e327. https://doi. org/10.1038/mtna.2016.40
18. Shuina E.D., Shchelik I.S., Sebyakin Yu.L. Synthesis and properties of neoglycolipids based on 2-amino-2-hydroxymethylpropane-1,3-diol. Tonkie khimicheskie tekhnologii = Fine Chemical Technologies. 2017; 12(4):65-74. (in Russ.). https://doi.org/10.32362/2410-6593-2017-12-4-65-74
19. Sarychev G.A., Mironova M.S., Budanova U.A., Sebyakin Yu.L. Design, synthesis and morphology of the organosiloxane hybrid particles based on l-aspartic acid derivatives. Mend. Comm. 2017; 27:155-156. https://doi.org/10.1016/j.mencom.2017.03.016
20. Krapcho A.P., Kuell C.S. Mono-Protected diamines. N-tert-Butoxycarbonyl a,ro-alkanediamines from α,ω-alkanediamines. Synth. Commun. 1990; 20:2559-2564. https://doi.org/10.1080/00397919008053205
Supplementary files
|
|
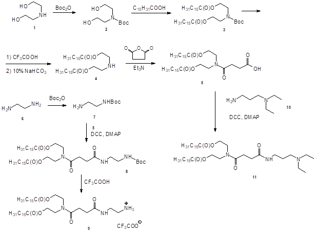
1. Scheme. 1. Synthesis of cationic (9) and ionized (11) lipid-like structures. | |
| Subject | ||
| Type | Research Instrument | |
View
(112KB)
|
Indexing metadata ▾ | |
Review
For citations:
Denieva Z.G., Budanova U.A., Sebyakin Yu.L. Synthesis of Cationic and Ionizable Amphiphiles Based on Heminal Aminodiol as Potential siRNA Delivery Systems. Fine Chemical Technologies. 2019;14(3):42-49. (In Russ.) https://doi.org/10.32362/2410-6593-2019-14-3-42-49






















