Semiquantitative determination of meldonium and emoxypine in human urine by HPLC–MS/MS after receiving a single therapeutic dose of Brainmax® and milk from cows receiving a preventive course of Emidonol®
https://doi.org/10.32362/2410-6593-2025-20-4-382-398
EDN: GJESKG
Abstract
Objectives. Emidonol® is a veterinary drug used to treat pathological conditions associated with hypoxia in cattle. In addition tomeldonium, which is included in the Prohibited List of the World Anti-Doping Agency, the biotransformation product of Emidonol® in animals is the antioxidant and antihypoxant emoxypine, which can act as a marker of contamination of food products with the above-mentioned widely known metabolic modulator. The study set out to semiquantitatively determine emoxypine and meldonium levels, as well as to compare the excretion profiles of these substances by high-performance liquid chromatography–tandem mass spectrometry (HPLC–MS/MS) in urine samples of volunteers after receiving a single oral administration of a therapeutic dose of Brainmax® and after consuming a large amount of milk from cows that had received a prophylactic course of Emidonol®.
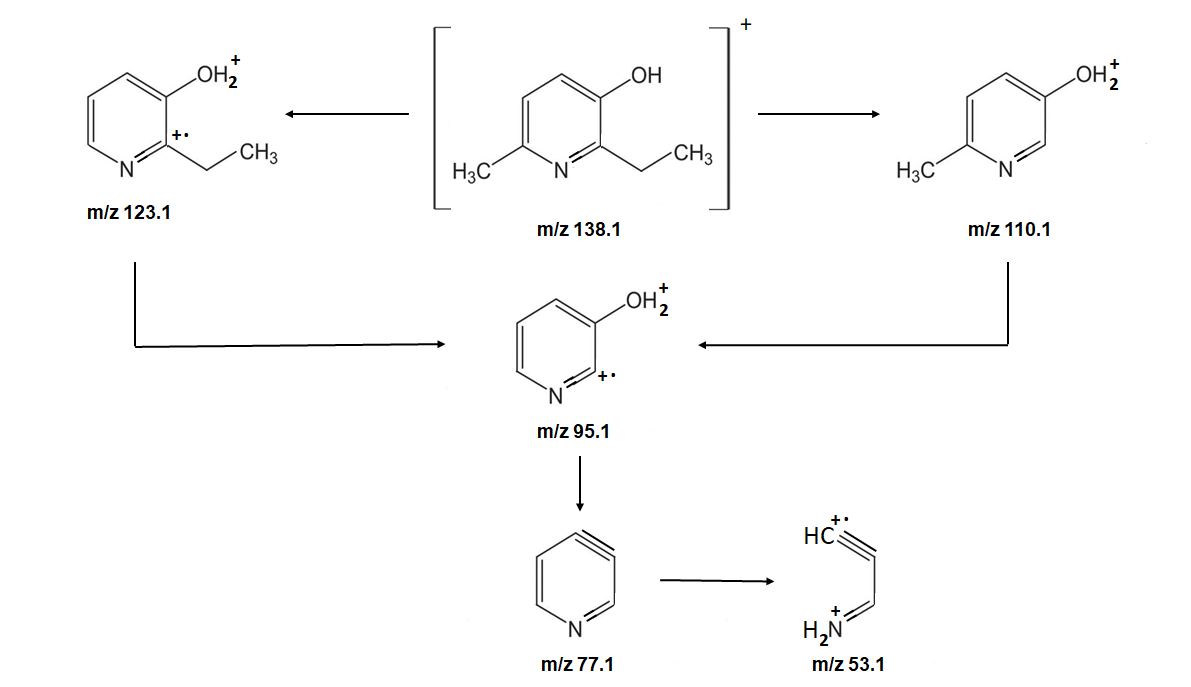
Methods. Sample preparation of urine samples for the determination of meldonium was carried out using the “dilute and shoot” approach. Enzymatic hydrolysis with β-glucuronidase followed by purification by solid-phase extraction was used to determine emoxypine. Identification of meldonium and emoxypine was carried out by HPLC–MS/MS under conditions of electrospray ionization with registration of positively charged ions in the selective reaction monitoring (SRM) mode for the following transitions and collision energies: for meldonium, 147.1 > 147.1 (15), 147.1 > 132.1 (17), 147.1 > 58.1 (17), 147.1 > 59.1 (17), 147.1 > 42.1 (60); for emoxypine, 138.1 > 138.1 (7), 138.1 > 123.1 (15), 138.1 > 110.1 (20), 138.1 > 95.1 (20).
Results. The possibility of simultaneous identifying meldonium and emoxypine obtained after enzymatic hydrolysis with β-glucuronidase in urine samples of volunteers after oral intake of single dose of Brainmax® and consuming a large amount of Emidonol®-contaminated milk using the HPLC–MS/MS method with different numbers and variants of SRM transitions was demonstrated. Differences in the excretion profiles of these substances were found after ingestion of large amounts of contaminated milk and a single oral dose of Brainmax® 15–18 h later and further. After taking contaminated milk 12 h or more later, emoxypine is detected in concentrations 5 or more times higher than meldonium concentrations and is excreted for a longer period of time. Conversely, after taking a single dose of Brainmax®, which contains both substances, the content of meldonium in urine samples of volunteers 15–18 h after taking it is several times higher in relation to emoxypine. The constant ratio of estimated concentrations of meldonium and emoxypine in Emidonol® was found to be approximately 1 : 2.
Conclusions. Identification of meldonium in the presence of emoxypine in urine under certain conditions can be used to distinguish contamination of food products with a prohibited metabolic modulator from intentional ingestion of real doping.
About the Authors
Pavel V. PostnikovRussian Federation
Pavel V. Postnikov, Cand. Sci. (Chem.), Head of the Doping Control Department
10-1, Elizavetinskii per., Moscow, 105005
Scopus Author ID 57021610900
Competing Interests:
Авторы заявляют об отсутствии конфликта интересов
Alexander D. Askretkov
Russian Federation
Alexander D. Askretkov, Cand. Sci. (Pharm.), Senior Specialist, Doping Control Department
10-1, Elizavetinskii per., Moscow, 105005
Scopus Author ID 57196465758
Competing Interests:
Авторы заявляют об отсутствии конфликта интересов
Andrey V. Polosin
Russian Federation
Andrey V. Polosin, Chief Specialist, Doping Control Department
10-1, Elizavetinskii per., Moscow, 105005
Competing Interests:
Авторы заявляют об отсутствии конфликта интересов
Yuliya A. Efimova
Russian Federation
Yuliya A. Efimova, Cand. Sci. (Chem.), Assistant Professor, I.P. Alimarin Department of Analitical Chemistry
78, Vernadskogo pr., Moscow, 119454
Scopus Author ID 25228417800
Competing Interests:
Авторы заявляют об отсутствии конфликта интересов
Elena S. Mochalova
Russian Federation
Elena S. Mochalova, Acting Director
10-1, Elizavetinskii per., Moscow, 105005
Scopus Author ID 56416432400
Competing Interests:
Авторы заявляют об отсутствии конфликта интересов
References
1. Vasiliev A.A., Galatdinova I.A., Zhigalova Yu.A. Ichthyotoxicological properties of Emidonol® 20%. Vestnik APK Stavropol’ya = Agricultural Bulletin of Stavropol Region. 2015;1:13–15 (in Russ.).
2. Jędrejko K., Catlin O., Stewart T., Muszyńska B. Mexidol, Cytoflavin, and succinic acid derivatives as antihypoxic, antiischemic metabolic modulators, and ergogenic aids in athletes and consideration of their potential as performance enhancing drugs. Drug Test. Anal. 2024;16(12):1436–1467. https://doi.org/10.1002/dta.3655
3. Postnikov P.V., Polosin A.V., Savelieva N.B., Kurbatkin S.A., Efimova Yu.A., Mochalova E.S. Identification of hypoxene metabolites in urine samples using gas chromatography– tandem mass spectrometry for anti-doping control. Fine Chem. Technol. 2024;19(5):393–407. https://doi.org/10.32362/2410-6593-2024-19-5-393-407
4. Temerdashev A., Azaryan A., Dmitrieva E. Meldonium determination in milk and meat through UHPLC-HRMS. Heliyon. 2020;6(8):e04771. https://doi.org/10.1016/j.heliyon.2020.e04771
5. Postnikov P.V., Polosin A.V., Mochalova E.S., Ordzhonikidze Z.G., Nikityuk D.B., Tutelyan V.A. Identification of meldonium in the urine of volunteers using high-performance liquid chromatography-tandem mass spectrometry after consumption of milk of cows treated with a preventive course of the veterinary drug Emidonol®. Voprosy pitaniya = Problems of Nutrition. Vopr. Pitan. 2024;93(5): 94–103 (in Russ.). https://doi.org/10.33029/0042-8833-2024-93-5-94-103
6. Guddat S., Görgens C., Sobolevsky T., Thevis M. Meldonium residues in milk: A possible scenario for inadvertent doping in sports? Drug Test. Anal. 2021;13(11–12):1906–1910. https://doi.org/10.1002/dta.3145
7. Lukyanova L.D., Kirova Yu.I., Germanova E.L. The Role of Succinate in Regulation of Immediate HIF-1α Expression in Hypoxia. Bull. Exp. Biol. Med. 2018;164(3):298–303. https://doi.org/10.1007/s10517-018-3976-2 [Original Russian Text: Lukyanova L.D., Kirova Yu.I., Germanova E.L. The Role of Succinate in Regulation of Immediate HIF-1α Expression in Hypoxia. Byulleten’ Eksperimental’noi Biologii i Meditsiny. 2017;164(9):273–279 (in Russ.).]
8. Voronina T.A., Kapitsa I.G., Ivanova E.A. A comparative study of the effects of mexidolum and mildronatum on the physical performance of experimental animals. Zhurnal nevrologii i psikhiatrii im. S.S. Korsakova = S.S. Korsakov J. Neurology Psychiatry. 2017;117(4):71–74 (in Russ.). https://doi.org/10.17116/jnevro20171174171-74
9. Sariev A.K., Kravtsova O.Yu., Zherdev V.P., Berdimuratova G.D., Abdrakhmanov M.Zh., Seredenin S.B. Kinetics of excretion of mexidol and its glucuronideconjugated metabolite in volunteers of Kazakh and Russian populations. Klinicheskaya Farmakokinetika = Clinical Pharmacokinetics. 2005;1(2):23–28 (in Russ.).
10. RabinO., UibaV., MiroshnikovaYu., ZabelinM., SamoylovA., Karkischenko V., Semyonov S., Astrelina T., Razinkin S. Meldonium long-term excretion period and pharmacokinetics in blood and urine of healthy athlete volunteers. Drug Test. Anal. 2019;11(4):554–566. https://doi.org/10.1002/dta.2521
Supplementary files
|
|
1. Proposed fragmentation scheme of the protonated precursor ion of 2-ethyl-6-methyl-3-oxypyridine (emoxypine) | |
| Subject | ||
| Type | Other | |
View
(53KB)
|
Indexing metadata ▾ | |
- The possibility of simultaneous identifying meldonium and emoxypine obtained after enzymatic hydrolysis with β-glucuronidase in urine samples of volunteers after oral intake of single dose of Brainmax® and consuming a large amount of Emidonol®-contaminated milk using the HPLC–MS/MS method with different numbers and variants of SRM transitions was demonstrated.
- Identification of meldonium in the presence of emoxypine in urine under certain conditions can be used to distinguish contamination of food products with a prohibited metabolic modulator from intentional ingestion of real doping.
Review
For citations:
Postnikov P.V., Askretkov A.D., Polosin A.V., Efimova Yu.A., Mochalova E.S. Semiquantitative determination of meldonium and emoxypine in human urine by HPLC–MS/MS after receiving a single therapeutic dose of Brainmax® and milk from cows receiving a preventive course of Emidonol®. Fine Chemical Technologies. 2025;20(4):382-398. https://doi.org/10.32362/2410-6593-2025-20-4-382-398. EDN: GJESKG
JATS XML






















