Determination of chlorine-containing compounds in disinfectants using ion-exchange chromatography
https://doi.org/10.32362/2410-6593-2023-18-3-254-264
Abstract
Objectives. To develop a method for the determination of hypochlorite, chloride, chlorite, chlorate, and perchlorate ions in solution; to determine the limits of detection and quantitation for ClO−, Cl−, ClO2−, ClO3−, and ClO4− ions; to evaluate the applicability of the developed method and its suitability for disinfectant analysis.
Methods. Ionic chromatography using a conductometric detection system in isocratic elution mode.
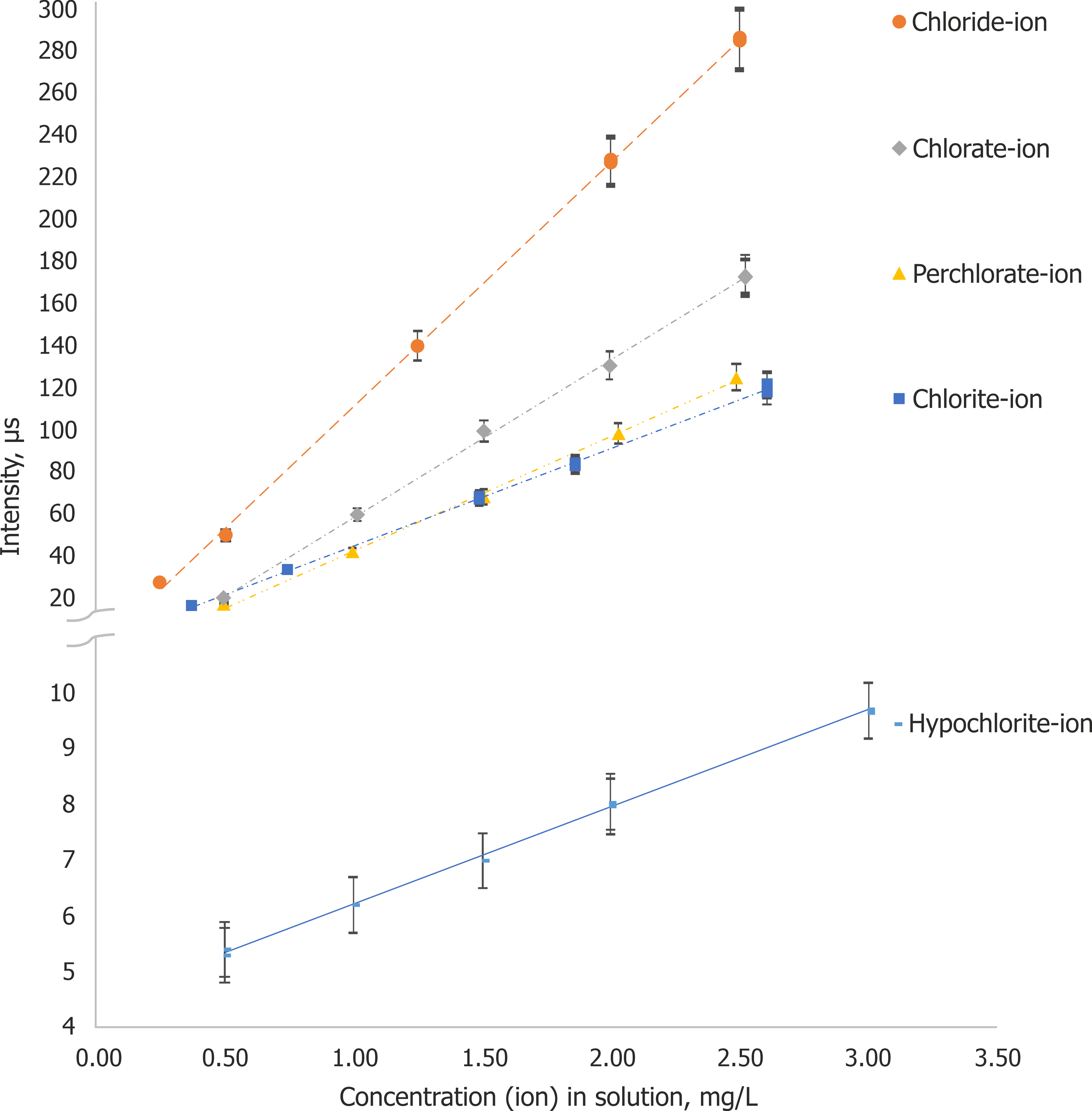
Results. The method developed for chromatographic determination of chlorine-containing ions can be used to quantify the content of hypochlorite, chloride, chlorite, chlorate, and perchlorate ions. In isocratic elution mode at 7.5 mM NaOH and a flow rate of 0.4 mL/min, the content of chlorine-containing ions can be determined with high sensitivity. The presented method does not require the use of expensive equipment for the ultrasensitive analysis of the studied compounds.
Conclusions. A novel method for the simultaneous determination of hypochlorite, chloride, chlorite, chlorate, and perchlorate ions in case of their combined presence is proposed. The technique can be used to carry out routine control of the content of these disinfectant components during use, increasing their effectiveness at the same time as managing associated toxicological risks.
About the Authors
E. A. LapinaRussian Federation
Eugenia A. Lapina, Engineer, Chemical Department
18, Nauchnyi pr., Moscow, 117246
ResearcherID AEE-8223-2022
S. A. Zverev
Russian Federation
Sergei A. Zverev, Junior Researcher, Chemical Department
18, Nauchnyi pr., Moscow, 117246
ResearcherID C-1526-2019
S. V. Andreev
Russian Federation
Sergei V. Andreev, Cand. Sci. (Chem.), Deputy Director
18, Nauchnyi pr., Moscow, 117246
Scopus Author ID 57192710116
ResearcherID R-9798-2016
K. A. Sakharov
Singapore
Konstantin A. Sakharov, Cand. Sci. (Chem.), Researcher
50, Nanyang Avenue, Singapore, 639798
Scopus Author ID 6602616498
ResearcherID A-7428-2016
References
1. McCarthy W.P., O’Callaghan T.F., Danahar M., Gleeson D., O’Connor C., Fenelon M.A., et al. Chlorate and Other Oxychlorine Contaminants Within the Dairy Supply Chain. Compr. Rev. Food Sci. Food Saf. 2018;17(6):1561–1575. https://doi.org/10.1111/1541-4337.12393
2. Dannehl D., Schuch I., Gao Y., Cordiner S., Schmidt U. Effects of hypochlorite as a disinfectant for hydroponic systems on accumulations of chlorate and phytochemical compounds in tomatoes. Eur. Food Res. Technol. 2016;242(3):345–353. https://doi.org/10.1007/s00217-015-2544-5
3. Stanford B.D., Pisarenko A.N., Snyder S.A., Gordon G. Perchlorate, bromate, and chlorate in hypochlorite solutions: Guidelines for utilities. J. Am. Water Works Assoc. 2011;103(6):71–83. https://doi.org/10.1002/j.1551-8833.2011.tb11474.x
4. Wang Z.X., Jin X., Gao Y.F., Kong F.Y., Wang W.J., Wang W. Fluorometric and colorimetric determination of hypochlorite using carbon nanodots doped with boron and nitrogen. Microchim. Acta. 2019;186(6):Article number 328. https://doi.org/10.1007/s00604-019-3443-4
5. Lu L., Zhang J., Yang X. Simple and selective colorimetric detection of hypochlorite based on anti-aggregation of gold nanoparticles. Sensors Actuators B: Chem. 2013;184:189–195. https://doi.org/10.1016/j.snb.2013.04.073
6. Girenko D.V., Gyrenko A.A., Nikolenko N.V. Potentiometric Determination of Chlorate Impurities in Hypochlorite Solutions. Int. J. Anal. Chem. 2019;2019. https://doi.org/10.1155/2019/2360420
7. Xie L., Zheng R., Hu H., Li L. Determination of hypochlorite and bisulfite in water by bifunctional colorimetric sensor based on octupolar conjugated merocyanine dyes. Microchem. J. 2022;172(PA):106931. https://doi.org/10.1016/j.microc.2021.106931
8. Hammar L., Wranglén G. Cathodic and anodic efficiency losses in chlorate electrolysis. Electrochim. Acta. 1964;9(1):1–16. https://doi.org/10.1016/0013-4686(64)80001-3
9. Levanov A.V., Isaikina O.Y. Mechanism and Kinetic Model of Chlorate and Perchlorate Formation during Ozonation of Aqueous Chloride Solutions. Ind. Eng. Chem. Res. 2020;59(32):14278–14287. https://doi.org/10.1021/acs.iecr.0c02770
10. Alfredo K., Stanford B., Roberson J.A., Eaton A. Chlorate challenges for water systems. J. Am. Water Works Assoc. 2015;107(4):E187–196. https://doi.org/10.5942/jawwa.2015.107.0036
11. Li X.A., Zhou D.M., Xu J.J., Chen H.Y. Determination of chloride, chlorate and perchlorate by PDMS microchip electrophoresis with indirect amperometric detection. Talanta. 2008;75(1):157–162. https://doi.org/10.1016/j.talanta.2007.10.054
12. Biesaga M., Kwiatkowska M., Trojanowicz M. Separation of chlorine-containing anions by ion chromatography and capillary electrophoresis. J. Chromatogr. A. 1997;777(2):375–381. https://doi.org/10.1016/S0021-9673(97)00338-5
13. Sanz Rodriguez E., Lam S., Smith G.G., Haddad P.R., Paull B. Ultra-trace determination of oxyhalides in ozonated aquacultural marine waters by direct injection ion chromatography coupled with triple-quadrupole mass spectrometry. Heliyon. 2021;7(4):e06885. https://doi.org/10.1016/j.heliyon.2021.e06885
14. Ma L., Wen S., Yuan J., Zhang D., Lu Y., Zhang Y., et al. Detection of chlorite, chlorate and perchlorate in ozonated saline. Exp. Ther. Med. 2020;20(3):2569–2576. https://doi.org/10.3892/etm.2020.9005
15. Rao B., Estrada N., McGee S., Mangold J., Gu B., Jackson W.A. Perchlorate production by photodecomposition of aqueous chlorine solutions. Environ. Sci. Technol. 2012;46(21):11635–11643. https://doi.org/10.1021/es3015277
16. Dietrich A.M., Ledder T.D., Gallagher D.L., Grabeel M.N., Hoehn R.C. Determination of Chlorite and Chlorate in Chlorinated and Chloraminated Drinking Water by Flow Injection Analysis and Ion Chromatography. Anal. Chem. 1992;64(5):496–502. https://doi.org/10.1021/ac00029a009
17. Yuan Y., Wang D., Long W., Deng F., Yu S., Tian J., et al. Ratiometric fluorescent detection of hypochlorite in aqueous solution and living cells using an ionic probe with aggregation-induced emission feature. Sensors Actuators B: Chem. 2021;330:129324. https://doi.org/10.1016/j.snb.2020.129324
18. Zaporozhets O.A., Pogrebnyak O.S., Vizir N.N. Spectrophotometric determination of hypochlorite by N,N-diethylaniline. J. Water Chem. Technol. 2011;33(1):31–36. https://doi.org/10.3103/s1063455x11010061
19. Asakai T. Perchlorate ion standard solution: multipath titrimetric approach using three different stoichiometric reactions—Towards the establishment of SI traceable chemical standards. Metrologia. 2020;57(3):035005. https://doi.org/10.1088/1681-7575/ab79bf
20. Watanabe T., Idehara T., Yoshimura Y., Nakazawa H. Simultaneous determination of chlorine dioxide and hypochlorite in water by high-performance liquid chromatography. J. Chromatogr. A. 1998;796(2):397–400. https://doi.org/10.1016/S0021-9673(97)01009-1
21. Mavroudakis L., Mavrakis E., Kouvarakis A., Pergantis S.A. Determination of chlorate, perchlorate and bromate anions in water samples by microbore reversed-phase liquid chromatography coupled to sonic-spray ionization mass spectrometry. Rapid Commun. Mass Spectrom. 2017;31(11):911–918. https://doi.org/10.1002/rcm.7866
22. Themelis D.G., Delmer W.W., Gordon G. Determination of low concentrations of chlorite and chlorate ions by using a flow-injection system. Analytica Chimica Acta. 1989;225:437–441. https://doi.org/10.1016/s0003-2670(00)84634-6
23. Stahl R. Ion chromatographic determination of chloride, chlorate, and perchlorate in sulfuric acid solutions. Chromatographia. 1993;37(5–6):300–302. https://doi.org/10.1007/bf02278638
24. Gilchrist E.S., Healy D.A., Morris V.N., Glennon J.D. A review of oxyhalide disinfection by-products determination in water by ion chromatography and ion chromatography-mass spectrometry. Anal. Chim. Acta. 2016;942:12–22. https://doi.org/10.1016/j.aca.2016.09.006
25. Bebeshko G.I., Karpov Y.A. Current methods of determination of chlorine in inorganic substances (Overview). Inorg. Mater. 2012;48(15):1341–1348. https://doi.org/10.1134/s002016851214004x
26. Young T.R., Cheng S., Li W., Dodd M.C. Rapid, high-sensitivity analysis of oxyhalides by non-suppressed ion chromatography-electrospray ionization-mass spectrometry: Application to ClO4-, ClO3-, ClO2-, and BrO3- quantification during sunlight/chlorine advanced oxidation. Environ. Sci.: Water Res. Technol. 2020;6:2580–2596. https://doi.org/10.1039/D0EW00429D
27. Gallidabino M.D., Irlam R.C., Salt M.C., O’Donnell M., Beardah M.S., Barron L.P. Targeted and non-targeted forensic profiling of black powder substitutes and gunshot residue using gradient ion chromatography – high resolution mass spectrometry (IC-HRMS). Anal. Chim. Acta. 2019;1072:1–14. https://doi.org/10.1016/j.aca.2019.04.048
28. Pisarenko A.N., Stanford B.D., Quiñones O., Pacey G.E., Gordon G., Snyder S.A. Rapid analysis of perchlorate, chlorate and bromate ions in concentrated sodium hypochlorite solutions. Anal. Chim. Acta. 2010;659(1–2):216–223. https://doi.org/10.1016/j.aca.2009.11.061
29. Okada T., Asawa T., Sugiyama Y., Iwai T., Kirihara M., Kimura Y. Sodium hypochlorite pentahydrate (NaOCl·5H2O) crystals; An effective re-oxidant for TEMPO oxidation. Tetrahedron. 2016;72(22):2818–2827. https://doi.org/10.1016/j.tet.2016.03.064
30. Reviewer Guidance. Validation of Chromatographic Methods. Washington: Center for Drug Evaluation and Research (CDER); 1994. Vol. 2. 33 p.
Supplementary files
|
|
1. Graphical representation of the calibration curves of hypochlorite, chloride, chlorite, chlorate, and perchlorate ions | |
| Subject | ||
| Type | Исследовательские инструменты | |
View
(300KB)
|
Indexing metadata ▾ | |
- A novel method for the simultaneous determination of hypochlorite, chloride, chlorite, chlorate, and perchlorate ions in case of their combined presence is proposed.
- The method developed for chromatographic determination of chlorine-containing ions can be used to quantify the content of hypochlorite, chloride, chlorite, chlorate, and perchlorate ions.
- In isocratic elution mode at 7.5 mM NaOH and a flow rate of 0.4 mL/min, the content of chlorine-containing ions can be determined with high sensitivity.
- The presented method does not require the use of expensive equipment for the ultrasensitive analysis of the studied compounds.
Review
For citations:
Lapina E.A., Zverev S.A., Andreev S.V., Sakharov K.A. Determination of chlorine-containing compounds in disinfectants using ion-exchange chromatography. Fine Chemical Technologies. 2023;18(3):254-264. https://doi.org/10.32362/2410-6593-2023-18-3-254-264






















