Bifunctional gallium cation chelators
https://doi.org/10.32362/2410-6593-2022-17-2-107-130
Abstract
Objectives. The chemistry of 67Ga and 68Ga radionuclides plays a key role in nuclear medicine for applications in radiopharmaceuticals, in particular, in noninvasive in vivo molecular imaging techniques. The use of radiometals for labeling biomolecules typically requires the use of bifunctional chelators, which contain a functional group for covalent bonding with the targeting vector in addition to the polydentate fragment coordinating the metal. The aim of the present review article is to analyze the currently accumulated experimental material on the development and application of bifunctional chelators of gallium cations in medical research, as well as to identify the main requirements for the structure of the chelator and its complexes with 68Ga, which are used to create effective Gabased pharmaceutical preparations.
Results. The review analyzed macrocyclic bifunctional chelators forming stable in vivo complexes with 68Ga and acyclic chelators, whose main advantage is faster complexation kinetics due to the short half-life of 68Ga. The advantages and disadvantages of both types of ligands were evaluated. In addition, a critical analysis of the binding constants and the conditions for the formation of complexes was presented. Examples of the influence of the geometry, lipophilicity, and total charge of the metal complex on the biodistribution of target radiopharmaceuticals were also given.
Conclusions. Despite the progress made in the considered areas of bifunctional chelators, the problem of correlating the chemical structure of a metal-based radiopharmaceutical with its behavior in vivo remains important. Comparative studies of drugs having an identical targeting vector but containing different bifunctional chelating agents could help further elucidate the effectof metal chelate moiety on pharmacokinetics. In order to create effective bifunctional chelating agents, it is necessary to take into account such factors as the stability and inertness of the chelator and its complexes under physiological conditions, lipophilicity, complexation kinetics, chelation selectivity, combinatoriality of the basic structure, along with economic aspects, e.g., the availability of raw materials and the complexity of the synthesis scheme.
About the Authors
A. G. PolivanovaRussian Federation
Anna G. Polivanova, Cand. Sci. (Chem.), Associate Professor, Department of Chemistry and Technology of Biomedical Preparations
9, Miusskaya pl., Moscow, 125047
Competing Interests:
The authors declare no conflicts of interest
I. N. Solovieva
Russian Federation
Inna N. Solovieva, Cand. Sci. (Chem.), Associate Professor, Department of Chemistry and Technology of Biomedical Preparations
9, Miusskaya pl., Moscow, 125047
Competing Interests:
The authors declare no conflicts of interest
D. O. Botev
Russian Federation
Dmitrii O. Botev, Master Student, Department of Chemistry and Technology of Biomedical Preparations
9, Miusskaya pl., Moscow, 125047
Competing Interests:
The authors declare no conflicts of interest
D. Y. Yuriev
Russian Federation
Danil Yu. Yuriev, Master Student, Leading Engineer, Department of Chemistry and Technology of Biomedical Preparations
9, Miusskaya pl., Moscow, 125047
Competing Interests:
The authors declare no conflicts of interest
A. N. Mylnikova
Russian Federation
Alyona N. Mylnikova, Leading Engineer, Assistant, Department of Chemistry and Technology of Biomedical Preparations
9, Miusskaya pl., Moscow, 125047
Competing Interests:
The authors declare no conflicts of interest
M. S. Oshchepkov
Russian Federation
Maxim S. Oshchepkov, Dr. Sci. (Chem.), Head of the Department of Chemistry and Technology of Biomedical Preparations
Scopus Author ID 50262866400; Researcher ID AAA-6443-2022
9, Miusskaya pl., Moscow, 125047
Competing Interests:
The authors declare no conflicts of interest
References
1. Bartholomä M. Recent developments in the design of bifunctional chelators for metal-based radiopharmaceuticals used in Positron Emission Tomography. Inorganica Chim. Acta. 2012;389:36–51. https://doi.org/10.1016/j.ica.2012.01.061
2. Clarke E.T., Martell A.E. Stabilities of trivalent metal ion complexes of the tetraacetate derivatives of 12-, 13- and 14-membered tetraazamacrocycles. Inorganica Chim. Acta. 1991;190(1):37–46. https://doi.org/10.1016/S0020-1693(00)80229-7
3. Clarke E.T., Martell A.E. Stabilities of the Fe(III), Ga(III) and In(III) chelates of N,N′,N″-triazacyclononanetriacetic acid. Inorganica Chim. Acta. 1991;181(2):273–280. https://doi.org/10.1016/S0020-1693(00)86821-8
4. Velikyan I., Beyer G.J., Bergstrom-Pettermann E. The importance of high specific radioactivity in the performance of 68Ga-labeled peptide. Nucl. Med. Biol. 2008;35(5):529–536. https://doi.org/10.1016/j.nucmedbio.2008.03.002
5. Riss P.J., et al. NODAPA-OH and NODAPA-(NCS)n: Synthesis, 68Ga-radiolabelling and in vitro characterisation of novel versatile bifunctional chelators for molecular imaging. Bioorg. Med. Chem. Lett. 2008;18(2):5364–5367. https://doi.org/10.1016/j.bmcl.2008.09.054
6. Notni J., Hermann P., Havlíčková J., et al. A Triazacyclononane-Based Bifunctional Phosphinate Ligand for the Preparation of Multimeric 68Ga Tracers for Positron Emission Tomography. Chem. Eur. J. 2010;16(24):7174–7185. https://doi.org/10.1002/chem.200903281
7. Simeček J., et al. A monoreactive bifunctional triazacyclononane phosphinate chelator with high selectivity for gallium-68. ChemMedChem. 2012;8(7):1375–1378. https://doi.org/10.1002/cmdc.201200261
8. Prata M.I.M., et al. Gallium(III) chelates of mixed phosphonate-carboxylate triazamacrocyclic ligands relevant to nuclear medicine: Structural, stability and in vivo studies. J. Inorg. Biochem. 2017;177:8–16. https://doi.org/10.1016/j.jinorgbio.2017.08.015
9. Yang C.-T., Sreerama S.G., Hsieh W.-Y. Synthesis and Characterization of a Novel Macrocyclic Chelator with 3-Hydroxy-4-Pyrone Chelating Arms and Its Complexes with Medicinally Important Metals. Inorg. Chem. 2008;47(7):2719–2727. https://doi.org/10.1021/ic7022506
10. Seemann J., Waldron B.P., Roesch F. Approaching ‘Kit-Type’ Labelling with 68Ga: The DATA Chelators. ChemMedChem. 2015;10(6):1019–1026. https://doi.org/10.1002/cmdc.201500092
11. Ma M.T., Neels O.C., Denoyer D., Roselt P., et al. Gallium-68 Complex of a Macrobicyclic Cage Amine Chelator Tethered to Two Integrin-Targeting Peptides for Diagnostic Tumor Imaging. Bioconjugate Chem. 2011;22(10):2093–2103. https://doi.org/10.1021/bc200319q
12. Boros E., et al. Acyclic chelate with ideal properties for 68Ga PET imaging agent elaboration. J. Am. Chem. Soc. 2010;132(44):15726–15733. https://doi.org/10.1021/ja106399h
13. Sun Y., et al. Indium(III) and gallium(III) complexes of bis(aminoethanethiol) ligands with different denticities: stabilities, molecular modeling, and in vivo behavior. J. Med. Chem. 1996;39(2):458–470. https://doi.org/10.1021/jm9505977
14. Eder M., Krivoshein A.V., Backer M., Backer J.M. ScVEGF-PEG-HBED-CC and scVEGF-PEG-NOTA conjugates: comparison of easy-to-label recombinant proteins for [68Ga]PET imaging of VEGF receptors in angiogenic vasculature. Nucl. Med. Biol. 2010;37(4):405–412. https://doi.org/10.1016/j.nucmedbio.2010.02.001
15. Liolios C., et al. Synthesis, characterization and evaluation of 68Ga labelled monomeric and dimeric quinazoline derivatives of the HBED-CC chelator targeting the epidermal growth factor receptor. Bioorg. Chem. 2020;100:103855. https://doi.org/10.1016/j.bioorg.2020.103855
16. Timerbaev A.R. Advances in developing tris(8-quinolinolato)gallium(III) as an anticancer drug: critical appraisal and prospects. Metallomics. 2009;1(3):193–198. https://doi.org/10.1039/b902861g
17. Enyedy É.A., Mészáros J.P., Spengler G., Hanif M. Comparative solution studies and cytotoxicity of gallium(III) and iron(III) complexes of 3-hydroxy-2(1H)-pyridinones. Polyhedron. 2019;172:141–147. https://doi.org/10.1016/j.poly.2019.04.010
18. Berry D.J., Ma Y., Ballinger J.R., Tavaré R. Efficient bifunctional gallium-68 chelators for positron emission tomography: tris(hydroxypyridinone) ligands. ChemComm. 2011;47(25):7068. https://doi.org/10.1039/C1CC12123E
19. Chaves S., Marques S.M., Matos A.M.F., Nunes A. New Tris(hydroxypyridinones) as Iron and Aluminium Sequestering Agents: Synthesis, Complexation and in Vivo Studies. Chem. Eur. J. 201;16(34):10535–10545. https://doi.org/10.1002/chem.201001335
20. Mathias C.J., Lewis M.R., Reichert D.E., Laforest R., et al. Preparation of 66Ga- and 68Ga-labeled Ga(III)-deferoxaminefolate as potential folate-receptor-targeted PET radiopharmaceuticals. Nucl. Med. Biol. 2003;30(7):725–731. https://doi.org/10.1016/s0969-8051(03)00080-5
21. Vosjan M.J.W.D., Perk L.R., Roovers R.C., Visser G.W.M., et al. Facile labelling of an anti-epidermal growth factor receptor Nanobody with 68Ga via a novel bifunctional desferal chelate for immuno-PET. Eur. J. Nucl. Med. Mol. Imaging. 2011;38(4):753–763. https://doi.org/10.1007/s00259-010-1700-1
22. Fani M., et al. PET of somatostatin receptor-positive tumors using 64Cu- and 68Ga-somatostatin antagonists: the chelate makes the difference. J. Nuc.l Med. 2011;52(7):1110–1118. https://doi.org/10.2967/jnumed.111.087999
23. Martell A.E., Motekaitis R.J., Clarke E.T., Delgado R., et al. Stability constants of metal complexes of macrocyclic ligands with pendant donor groups. Supramol. Chem. 1996;6(3–4):353–363. https://doi.org/10.1080/10610279608032555
24. Ma R., Welch M.J., Reibenspies J. Stability of metal ion complexes of 1,4,7-tris(2-mercaptoethyl)-1,4,7- triazacylclonane (TACN-TM) and molecular structure of In(C12H24N3S3). Inorg. Chim. Acta. 1995;236(1–2):75–82. https://doi.org/10.1016/0020-1693(95)04617-I
25. Craig A.S., Parker D., Adams H. Stability, 71Ga NMR, and crystal structure of a neutral gallium(III) complex of 1,4,7-triazacyclononanetriacetate: a potential radiopharmaceutical? J. Chem. Soc., Chem. commun. 1989;(23):1793–1794. https://doi.org/10.1039/C39890001793
26. Broan C.J., Cox J.P.L., Craig A.S., Kataky R., et al. Structure and solution stability of indium and gallium complexes of 1,4,7-triazacyclononanetriacetate and of yttrium complexes of 1,4,7,10-tetraazacyclododecanetetraacetate and related ligands: kinetically stable complexes for use in imaging and radioimmunotherapy. X-Ray molecular structure of the indium and gallium complexes of 1,4,7-triazacyclononane- 1,4,7-triacetic acid. J. Chem. Soc., Perkin Trans.2. 1991;2(1):87–99. https://doi.org/10.1039/P29910000087
27. Kruper W.J., Rudolf P.R., Langhoff C.A. Unexpected selectivity in the alkylation of polyazamacrocycles. J. Org. Chem. 1993;58(15):3869–3876. https://doi.org/10.1021/jo00067a018
28. Chappell L.L., Rogers B.E., Khazaeli M.B., Mayo M.S. Improved synthesis of the bifunctional chelating agent 1,4,7,10-tetraaza- N -(1-carboxy-3-(4-nitrophenyl)propyl)- N′, N″, N‴- tris(acetic acid)cyclododecane (PA-DOTA). Bioorg. Med. Chem. 1999;7(11):2313–2320. https://doi.org/10.1016/s0968-0896(99)00171-6
29. Prata M.I.M., Santos A.C., Geraldes C.F.G.C. Characterisation of 67Ga3+ complexes of triaza macrocyclic ligands: biodistribution and clearance studies. Nucl. Med. Biol. 1999;26(6):707–710. https://doi.org/10.1016/s0969-8051(99)00041-4
30. Heppeler A., Froidevaux S., Mäcke H.R., Jermann E., et al. Radiometal-Labelled Macrocyclic Chelator-Derivatised Somatostatin Analogue with Superb Tumour-Targeting Properties and Potential for Receptor-Mediated Internal Radiotherapy. Chem. Eur. J. 1999;5(7):1974–1981. https://doi.org/10.1002/(SICI)1521-3765(19990702)5:7%3C1974::AIDCHEM1974%3E3.0.CO;2-X
31. Viola N.A., Rarig R.S., Ouellette W., Doyle R.P. Synthesis, structure and thermal analysis of the gallium complex of 1,4,7,10-tetraazacyclo-dodecane-N,N′,N″,N‴-tetraacetic acid (DOTA). Polyhedron. 2006;25(18):3457–3462. https://doi.org/10.1016/j.poly.2006.06.039
32. Velikyan I., Beyer G.J., Långström B. Microwave-Supported Preparation of 68Ga Bioconjugates with High Specific Radioactivity. Bioconjugate Chem. 2004;15(3):554–560. https://doi.org/10.1021/bc030078f
33. Decristoforo C., Hernandez Gonzalez I., Carlsen J., Rupprich M., et al. 68Ga- and IIIIn-labelled DOTA-RGD peptides for imaging of αvβ3 integrin expression. Eur. J. Nucl. Med. Mol. Imaging. 2008;35(8):1507–1515. https://doi.org/10.1007/s00259-008-0757-6
34. Griffiths G.L., et al. Reagents and methods for PET using bispecific antibody pretargeting and 68Ga-radiolabeled bivalent hapten-peptide-chelate conjugates. J. Nucl. Med. 2004;45(1):30–39.
35. Sneddon D., Cornelissen B. Emerging chelators for nuclear imaging. Curr. Opin. Chem. Biol. 2021;63:152–162. https://doi.org/10.1016/j.cbpa.2021.03.001
36. Al-Nahhas A., et al. Gallium-68 PET: a new frontier in receptor cancer imaging. Anticancer Res. 2007;27(6B):4087–4094.
37. AL-Nahhas A., Win Z., Szyszko T., Singh A. What can gallium-68 PET add to receptor and molecular imaging? Eur. J. Nucl. Med. Mol. Imaging. 2007;34(12):1897–1901. https://doi.org/10.1007/s00259-007-0568-1
38. Velikyan I., Maecke H., Langstrom B. Convenient preparation of 68Ga-based PET-radiopharmaceuticals at room temperature. Bioconjugate Chem. 2008;19(2):569–573. https://doi.org/10.1021/bc700341x
39. André J. P., Maecke H. R., Zehnder M., Macko L. 1,4,7-Triazacyclononane-1-succinic acid-4,7-diacetic acid (NODASA): a new bifunctional chelator for radio galliumlabelling of biomolecules. Chem. Commun. 1998;(12):1301–1302. https://doi.org/10.1039/A801294F
40. André J.P., Mäcke H., Kaspar A., Künnecke B. In vivo and in vitro 27Al NMR studies of aluminum(III) chelates of triazacyclononane polycarboxylate ligands. J. Inorg. Biochem. 2002;88(1):1–6. https://doi.org/10.1016/s0162-0134(01)00340-3
41. Eisenwiener K.-P., et al. NODAGATOC, a new chelator-coupled somatostatin analogue labeled with [67/68Ga] and [IIIIn] for SPECT, PET, and targeted therapeutic applications of somatostatin receptor (hsst2) expressing tumors. Bioconjugate Chem. 2002;13(3):530–541. https://doi.org/10.1021/bc010074f
42. Jeong J.M., et al. Preparation of a promising angiogenesis PET imaging agent: 68Ga-labeled c(RGDyK)-isothiocyanatobenzyl- 1,4,7-triazacyclononane-1,4,7-triacetic acid and feasibility studies in mice. J. Nucl. Med. 2008;49(5):830–836. https://doi.org/10.2967/jnumed.107.047423
43. Waldron B.P., Parker D., Burchardt C., Yufit D.S. Structure and stability of hexadentate complexes of ligands based on AAZTA for efficient PET labelling with gallium-68. Chem. Commun. 2017;49(6):579–581. https://doi.org/10.1039/C2CC37544C
44. Parker D., Waldron B.P. Conformational analysis and synthetic approaches to polydentate perhydro-diazepine ligands for the complexation of gallium(III). Org. Biomol. Chem. 2013;11(17):2827. https://doi.org/10.1039/C3OB40287H
45. Costa J., Delgado R. Metal complexes of macrocyclic ligands containing pyridine. Inorg. Chem. 1993;32(23):5257–5265. https://doi.org/10.1021/ic00075a052
46. Ferreira C.L., Lamsa E., Woods M., Duan Y. Evaluation of Bifunctional Chelates for the Development of Gallium-Based Radiopharmaceuticals. Bioconjugate Chem. 2010;21(3):531–536. https://doi.org/10.1021/bc900443a
47. Liu S., Edwards D.S. Bifunctional chelators for therapeutic lanthanide radiopharmaceuticals. Bioconjugate Chem. 2001;12(1):7–34. https://doi.org/10.1021/bc000070v
48. Moreau J., Guillon E., Pierrard J.-C., Rimbault J. Complexing Mechanism of the Lanthanide Cations Eu3+, Gd3+, and Tb3+ with 1,4,7,10-Tetrakis(carboxymethyl)-1,4,7,10-tetraazacyclododecane (dota)—Characterization of Three Successive Complexing Phases: Study of the Thermodynamic and Structural Properties of the Complexes by Potentiometry, Luminescence Spectroscopy, and EXAFS. Chem. Eur. J. 2004;10(20):5218–5232. https://doi.org/10.1002/chem.200400006
49. Eder M., et al. Tetrafluorophenolate of HBED-CC: a versatile conjugation agent for 68Ga-labeled small recombinant antibodies. Eur. J. Nucl. Med. Mol. Imaging. 2008;35(10):1878–1886. https://doi.org/10.1007/s00259-008-0816-z
50. Collery P., Lechenault F., Cazabat A. Juvin E., et al. Inhibitory effects of gallium chloride and tris (8-quinolinolato) gallium(III) on A549 human malignant cell line. Anticancer Res. 2000;20(2A):955–8.
51. Lessa J.A., Parrilha G.L., Beraldo H. Gallium complexes as new promising metallodrug candidates. Inorg. Chim. Acta. 2012;393:53–63. https://doi.org/10.1016/j.ica.2012.06.003
52. Litecká M., Hreusová M., Kašpárková J., Gyepes R., et al. Low-dimensional compounds containing bioactive ligands. Part XIV: High selective antiproliferative activity of tris(5-chloro-8-quinolinolato)gallium(III) complex against human cancer cell lines. Bioorg. Med. Chem Lett. 2020;30(13):127206. https://doi.org/10.1016/j.bmcl.2020.127206
53. Gómez-Ruiz S., Ceballos-Torres J., Prashar S., Fajardo M. One ligand different metal complexes: Biological studies of titanium(IV), tin(IV) and gallium(III) derivatives with the 2,6-dimethoxypyridine-3-carboxylato ligand. J. Organometallic Chem. 2011;696(20):3206–3213. https://doi.org/10.1016/j.jorganchem.2011.06.036
54. Chaves S., Marques S. M., Matos A. M. F., Nunes A., et al. New Tris(hydroxypyridinones) as Iron and Aluminium Sequestering Agents: Synthesis, Complexation and in Vivo Studies. Chem. Eur. J. 2010;16(34):10535–10545. https://doi.org/10.1002/chem.201001335
55. Chaves S., Mendonça A.C., Marques S.M., Prata M.I. A gallium complex with a new tripodal tris-hydroxypyridinone for potential nuclear diagnostic imaging: solution and in vivo studies of 67Ga-labeled species. J. Inorg. Biochem. 2011;105(1):31–38. https://doi.org/10.1016/j.jinorgbio.2010.09.012
56. Smith-Jones P. M., Stolz B., Bruns C., et al. Gallium-67/gallium-68-[DFO]-octreotide—a potential radiopharmaceutical for PET imaging of somatostatin receptorpositive tumors: synthesis and radiolabeling in vitro and preliminary in vivo studies. J. Nucl. Med. 1994;35(2):317–325.
57. Mathias C.J., et al. Receptor-mediated targeting of 67Ga-deferoxamine-folate to folate-receptor-positive human KB tumor xenografts. Nucl. Med. Biol. 1999;26(1):23–25. https://doi.org/10.1016/S0969-8051(98)00076-6
58. Thomas W. Price, et al. Evaluation of a bispidinebased chelator for gallium‐68 and of the porphyrin conjugate as PET/PDT theranostic agent. Chem. Eur. J. 2020;26(34):7602–7608. https://doi.org/10.1002/chem.201905776
59. Imberti C., et al. Manipulating the in Vivo Behaviour of 68Ga with Tris(Hydroxypyridinone) Chelators: Pretargeting and Blood Clearance. Int. J. Mol. Sci. 2020;21(4):1496. https://doi.org/10.3390/ijms21041496
60. Zhou X., et al. Design and synthesis of a new conjugate of a tris(3-hydroxy-4-pyridinone) chelator (KC18) for potential use as gallium-68-labeled prostate-specific membrane antigen (PSMA) radiopharmaceutical. Results in Chemistry. 2021;3:100240. https://doi.org/10.1016/j.rechem.2021.100240
61. Kowol C.R., Berger R., Eichinger R., Roller A., et al. Gallium(III) and Iron(III) Complexes of α-N-Heterocyclic Thiosemicarbazones: Synthesis, Characterization, Cytotoxicity, and Interaction with Ribonucleotide Reductase. J. Med. Chem. 2007;50(6):1254–1265. https://doi.org/10.1021/jm0612618
62. Arion V.B., et al. Synthesis, structure, spectroscopic and in vitro antitumour studies of a novel gallium(III) complex with 2-acetylpyridine (4)N-dimethylthiosemicarbazone. J. Inorg. Biochem. 2002;91(1):298–305. https://doi.org/10.1016/S0162-0134(02)00419-1
63. Qi J., Yao Q., Qian K., Tian L., et al. Gallium(III) complexes of α-N-heterocyclic piperidylthiosemicarbazones: Synthesis, structure-activity relationship, cellular uptake and activation of caspases-3/7/9. J. Inorg. Biochem. 2018;186:42–50. https://doi.org/10.1016/j.jinorgbio.2018.05.005
64. Qi J., et al. Synthesis, antiproliferative activity and mechanism of gallium(III)-thiosemicarbazone complexes as potential anti-breast cancer agents. Eur. J. Med. Chem. 2018;154:91–100. https://doi.org/10.1016/j.ejmech.2018.05.016
65. Firmino G. dos S.S., André S.C., Hastenreiter Z., Campos V.K., et al. In vitro assessment of the cytotoxicity of Gallium(III) complexes with Isoniazid-Derived Hydrazones: Effects on clonogenic survival of HCT-116 cells. Inorganica Chim. Acta. 2019;497:119079. https://doi.org/10.1016/j.ica.2019.119079
66. Kumar K., et al. Highly potent anti-proliferative effects of a gallium(III) complex with 7-chloroquinoline thiosemicarbazone as a ligand: synthesis, cytotoxic and antimalarial evaluation. Eur. J. Med. Chem. 2014;86:81–86. https://doi.org/10.1016/j.ejmech.2014.08.054
67. Doot R.K., Young A.J., Daube-Witherspoon M.E., Alexoff D., Labban K.J., Lee H., Wu Z., Zha Z., Choi S.R., Ploessl K.H. Biodistribution, dosimetry, and temporal signal-to-noise ratio analyses of normal and cancer uptake of [68Ga] Ga-P15-041, a gallium-68 labeled bisphosphonate, from first-in-human studies. Nucl. Med. Biol. 2020;86:1–8. https://doi.org/10.1016/j.nucmedbio.2020.04.002
Supplementary files
|
|
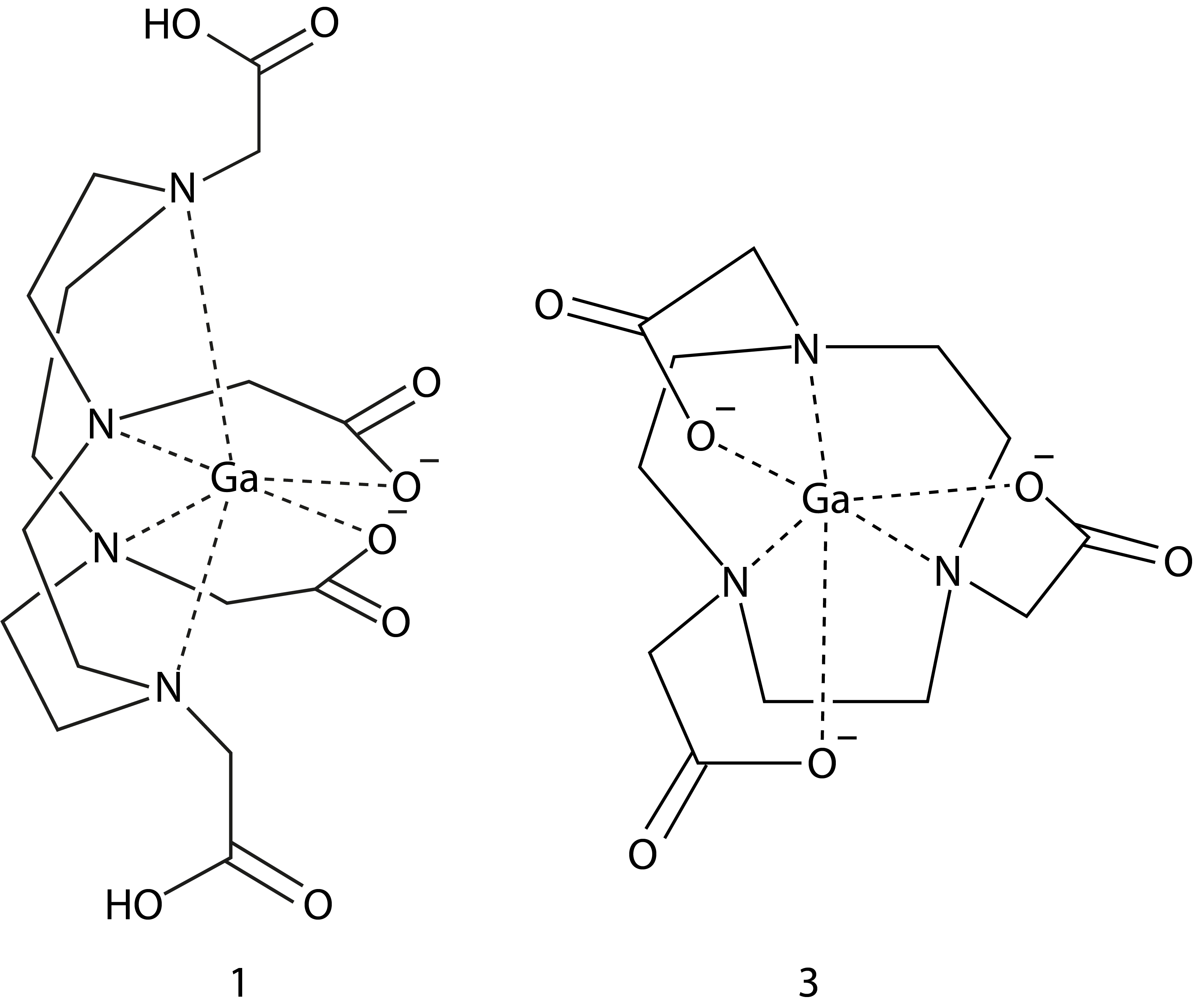
1. DOTA (1) and NOTA (3) complexes with gallium | |
| Subject | ||
| Type | Исследовательские инструменты | |
View
(492KB)
|
Indexing metadata ▾ | |
- The review analyzed macrocyclic bifunctional chelators forming stable in vivo complexes with 68Ga and acyclic chelators.
- In order to create effective bifunctional chelating agents, it is necessary to take into account such factors as the stability and inertness of the chelator and its complexes under physiological conditions, lipophilicity, complexation kinetics, chelation selectivity, combinatoriality of the basic structure, along with economic aspects, e.g., the availability of raw materials and the complexity of the synthesis scheme.
Review
For citations:
Polivanova A.G., Solovieva I.N., Botev D.O., Yuriev D.Y., Mylnikova A.N., Oshchepkov M.S. Bifunctional gallium cation chelators. Fine Chemical Technologies. 2022;17(2):107-130. https://doi.org/10.32362/2410-6593-2022-17-2-107-130
JATS XML






















