Synthesis and biological activity of 5-acetyl- and 5-hydroxyalkyl1,3-dioxane derivatives
https://doi.org/10.32362/2410-6593-2023-18-4-381-391
Abstract
Objectives. To synthesize derivatives of 5-acetyl- and 5-hydroxyalkyl-1,3-dioxanes and evaluate their effect on platelet aggregation and plasma hemostasis.
Methods. To determine the qualitative and quantitative composition of the reaction masses, gas chromatography-, chromate mass spectrometry-, and 1H and 13C nuclear magnetic resonance spectrometry methods were used.
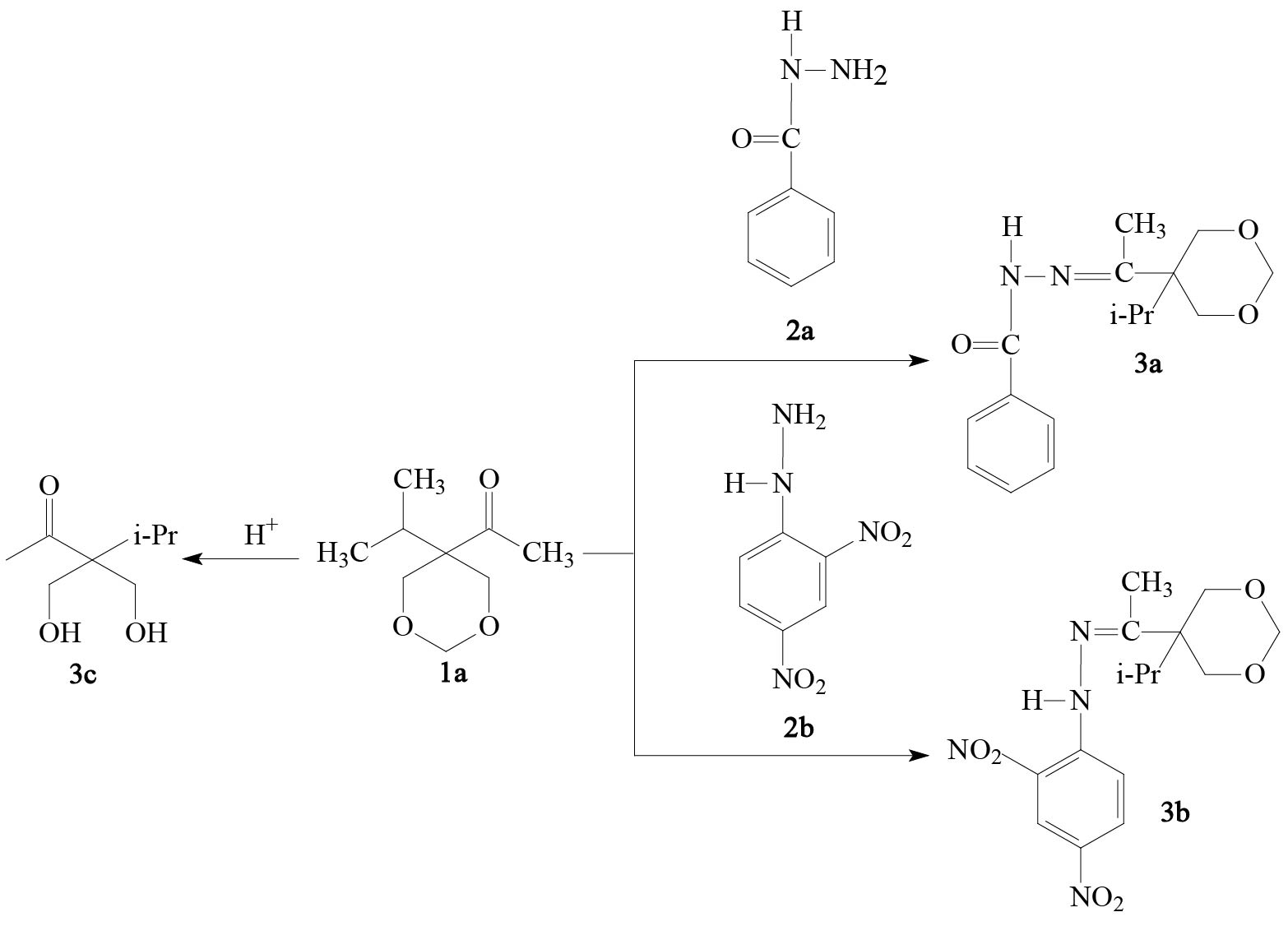
Results. Derivatives of 5-acetyl- and 5-hydroxyalkyl-1,3-dioxanes were obtained under thermal heating conditions in order to evaluate their effect on platelet aggregation and plasma hemostasis.
Conclusions. Derivatives of 5-acetyl- and 5-hydroxyalkyl-1,3-dioxanes were synthesized in high yields. Their effect on platelet aggregation and plasma hemostasis was established.
About the Authors
A. I. MusinRussian Federation
Airat I. Musin, Postgraduate Student, Department of General, Analytical and Applied Chemistry
1, Kosmonavtov ul., Ufa, 450064
Yu. G. Borisova
Russian Federation
Yulianna G. Borisova, Cand. Sci. (Chem.), Teacher, Department of General, Analytical and Applied Chemistry
1, Kosmonavtov ul., Ufa, 450064
Sh. Sh. Dzhumaev
Russian Federation
Shahobiddin Sh. Dzhumaev, Cand. Sci.(Chem.), Laboratory Engineer, Department of General, Analytical
and Applied Chemistry
1, Kosmonavtov ul., Ufa, 450064
N. S. Khusnutdinova
Russian Federation
Nailya S. Khusnutdinova, Assistant, Department of General Chemistry
3, Lenina ul., Ufa, 450008
G. Z. Raskil’dina
Russian Federation
Gul’nara Z. Raskil’dina, Dr. Sci. (Chem.), Professor, Department of General, Analytical and Applied Chemistry
1, Kosmonavtov ul., Ufa, 450064
R. M. Sultanova
Russian Federation
Rimma M. Sultanova, Dr. Sci. (Chem.), Professor, Department Department of General, Analytical and Applied Chemistry
1, Kosmonavtov ul., Ufa, 450064
S. S. Zlotskii
Russian Federation
Simon S. Zlotskii, Dr. Sci. (Chem.), Professor, Head of Department of General, Analytical and Applied Chemistry
1, Kosmonavtov ul., Ufa, 450064
References
1. Kuz’mina U.S., Raskil’dina G.Z., Ishmetova D.V., et al. Cytotoxic activity against SH-SY5Y neuroblastoma cells of heterocyclic compounds containing gemdichlorocyclopropane and/or 1,3-dioxacycloalkane fragments Pharm. Chem. J. 2022;55(12):1293–1298. https://doi.org/10.1007/s11094-022-02574-6 [Original Russian Text: Kuz’mina U.S., Raskil’dina G.Z., Ishmetova D.V., et al. Cytotoxic activity against SH-SY5Y neuroblastoma cells of heterocyclic compounds containing gem-dichlorocyclopropane and/or 1,3-dioxacycloalkane fragments. Khimiko-Farmatsevticheskii Zhurnal. 2021;55(12):27–32 (in Russ.). https://doi.org/10.30906/0023-1134-2021-55-12-27-32 ]
2. Campos J., Saniger E., Marchal J., Aiello S., Suarez I., Boulaiz H., Espinosa A. New medium oxacyclic O-, N-acetals and related open analogues: biological activities. Curr. Med. Chem. 2005;12(12):1423–1438. http://doi.org/10.2174/0929867054020927
3. El Maatougui A., Azuaje J., Coelho A., Cano E., Yanez M., Lopez C. Discovery and preliminary SAR of 5-arylidene-2,2-dimethyl-1,3-dioxane-4,6-diones as platelet aggregation inhibitors. Comb. Chem. High Throughput Screen. 2012;15(7):551–554. http://doi.org/10.2174/138620712801619122
4. Franchini S., Bencheva L.I., Battisti U.M., Tait A., Sorbi C., Fossa P., Brasili L. Synthesis and biological evaluation of 1,3-dioxolane-based 5-HT1A receptor agonists for CNS disorders and neuropathic pain. Future Med. Chem. 2018;10(18):2137–2154. https://doi.org/10.4155/fmc-2018-0107
5. Zhang Q., Cao R., Liu A., Lei S., Li Y., Yang J., Xiao J. Design, synthesis and evaluation of 2,2-dimethyl1,3-dioxolane derivatives as human rhinovirus 3C protease inhibitors. Bioorg. Med. Chem. Lett. 2017;27(17):4061–4065. https://doi.org/10.1016/j.bmcl.2017.07.049
6. Raskil’dina G.Z., Borisova Yu.G., Nurlanova S.N., Bashirov I.I, Fahretdinova A.K., Purygin P.P., Zlotsky S.S., Zarubin Yu.P. Anticoagulation and antiaggregation activities of a number of substituted gem-dichlorocyclopropanes and 1,3-dioxacycloalkanes. Butlerovskie soobshcheniya = Butlerov Communications. 2022;70(5):86–91 (In Russ.).
7. Min L.J., Wang H., Bajsa-Hirschel J., Yu C.S., Wang B., Yao M.M., Han L., Cantrell C.L., Duke S.O., Sun N.B., Liu X.H. Novel dioxolane ring compounds for the management of phytopathogen diseases as ergosterol biosynthesis inhibitors: synthesis, biological activities, and molecular docking. J. Agric. Food Chem. 2022;70(14):4303–4315. https://doi.org/10.1021/acs.jafc.2c00541
8. Sultanova R.M., Sakhabutdinova G.N., Raskil’dina G.Z., Zlotsky S.S., Khusnutdinova N.S., Meshcheryakova S.A. Synthesis and Biological Activity of Diterpenic Acid Esters Containing a Cycloacetal Fragment. Izvestiya Vysshikh Uchebnykh Zavedenii. Seriya Khimiya i Khimicheskaya Tekhnologiya = ChemChemTech. 2022;65(4):6–12 (in Russ.). https://doi.org/10.6060/ivkkt.20226504.6516
9. Yuan L., Li Z., Zhang, X., Yuan X. Crystal structure and biological activity of (3-Methyl-1,5-dioxaspiro[5.5] undecan-3-yl)methanol synthesized with nanosolid superacid. J. Nanosci. Nanotechnol. 2017;17(4):2624–2627. https://doi.org/10.1166/jnn.2017.12701
10. Pustylnyak V., Kazakova Y., Yarushkin A., Slynko N., Gulyaeva L. Effect of several analogs of 2,4,6-triphenyldioxane-1,3 on CYP2B induction in mouse liver. Chem.-Biol. Interact. 2011;194(2–3):134–138. https://doi.org/10.1016/j.cbi.2011.09.003
11. Sekimata K., Ohnishi T., Mizutani M., Todoroki Y., Han S.Y., Uzawa, J., Asami T. Brz220 Interacts with DWF4, a cytochrome P450 monooxygenase in brassinosteroid biosynthesis, and exerts biological activity. Biosci. Biotechnol. Biochem. 2008;72(1):7–12. https://doi.org/10.1271/bbb.70141
12. Musin A.I., Borisova Yu.G., Raskil’dina G.Z., Daminev R.R., Davletshin A.R., Zlotskii S.S. Heterogeneous catalytic reduction of substituted 5-acyl-1,3-dioxanes. Tonk. Khim. Tekhnol. = Fine Chem. Technol. 2022;17(3):201–209 (Russ., Eng.). https://doi.org/10.32362/2410-6593-2022-17-3-201-209
13. Zamalyutin V.V., Ryabov A.V., Nichugovskii A.I., Skryabina A.Y., Tkachenko O.Y., Flid V.R. Regularities of the heterogeneous catalytic hydrogenation of 5-vinyl-2- norbornene. Russ. Chem. Bull. 2022;71(1):70–75. https://doi.org/10.1007/s11172-022-3378-5 [Original Russian Text: Zamalyutin V.V., Ryabov A.V., Nichugovskii A.I., Skryabina A.Y., Tkachenko O.Y., Flid V.R. Regularities of the heterogeneous catalytic hydrogenation of 5-vinyl-2-norbornene. Izvestiya Akademii Nauk. Seriya Khimicheskaya. 2022;71(1):70–75 (in Russ.).]
14. Borisova Y.G., Yakupov N.V., Raskildina G.Z., Zlotskii S.S., Musin A.I., Daminev R.R. PD/C-Catalyzed hydrogenation of substituted 5-acyl-1,3-dioxanes. Russ. J. Gen. Chem. 2021;91(9):1619–1622. https://doi.org/10.1134/S1070363221090036 [Original Russian Text: Borisova Yu.G., Musin A.I., Yakupov N.V., Raskil’dina G.E., Daminev R.R., Zlotskii S.S. PD/C-Catalyzed hydrogenation of substituted 5-acyl-1,3- dioxanes. Zhurnal Obshchei Khimii. 2021;91(9):1328–1332 (in Russ.).]
15. Oludina Y.N., Voloshina A.D., Kulik M.V., Zobov V.V., Bukharov S.V., Tagasheva R.G., Rusinov G.L. Synthesis, Toxicity, and Antituberculosis Activity of Isoniazid Derivatives Containing Sterically Hindered Phenols. Pharm. Chem. J. 2014;48(1):5–7. https://doi.org/10.1007/s11094-014-1032-8 [Original Russian Text: Oludina Y.N., Voloshina A.D., Kulik M.V., Zobov V.V., Bukharov S.V., Tagasheva R.G., Rusinov G.L. Synthesis, Toxicity, and Antituberculosis Activity of Isoniazid Derivatives Containing Sterically Hindered Phenols. Khimiko-Farmatsevticheskii Zhurnal. 2014;48(1):8–10 (in Russ.).]
16. Bukharov S.V., Tagasheva R.G., Nugumanova G.N., Mavromati L.V. Synthesis of isoniazid derivatives with sterically hindered phenolic fragments. Vestnik Tekhnologicheskogo Universiteta = Bulletin of the Technological University. 2010;(8):23–27 (in Russ.).
17. Valiev V.F., Raskildina G.Z., Mudrik T.P., Bogomazova A.A., Zlotsky S.S. Synthesis of polyfunctional vicinal glycols. Bashkirskii Khimicheskii Zhurnal = Bashkir Chemical J. 2014;21(3):25–27 (in Russ.).
18. Yakovenko E.A., Bulatova Yu.I., Mirakyan S.M., Valiev V.F., Borisova Yu.G., Mikhailova N.N., Raskildina G.Z. Derivatives of alcohols and amines containing cyclopropane and cyclic acetal fragment. Bashkirskii Khimicheskii Zhurnal = Bashkir Chemical J. 2016;23(4):94–98 (in Russ.).
19. Oparina L.A., Vysotskaya O.V., Stepanov A.V., Gusarova N.K., Trofimov B. A. Chemo- and regioselective reaction of vinyl furfuryl ethers with alcohols. Russ. J. Org. Chem. 2012;48(9):1162–1167. https://doi.org/10.1134/S1070428012090023 [Original Russian Text: Oparina L.A., Vysotskaya O.V., Stepanov A.V., Gusarova N.K., Trofimov B.A. Chemo- and regioselective reaction of vinyl furfuryl ethers with alcohols. Zhurnal Organicheskoi Khimii. 2012;48(9):1166–1171 (in Russ.).]
20. Melnikov A.S., Meshcheryakova S.A., Abzalilov T.A., Nurlanova S.N. Anticoagulant activity of 6-methyluracil hydrazone derivatives including a four-member sulfurcontaining cycle with different degrees of sulfur atom oxidation. Mediko-Farmatsevticheskii Zhurnal “Pul’s” = Medical & Pharmaceutical Journal “Pulse”. 2021;23(12):60–66 (in Russ.). https://doi.org/10.26787/nydha-2686-6838-2021-23-12-60-66
Supplementary files
|
|
1. Scheme of reactions of 1-(5-isopropyl-1,3-dioxan-5-yl)ethanone 1a. | |
| Subject | ||
| Type | Исследовательские инструменты | |
View
(82KB)
|
Indexing metadata ▾ | |
Derivatives of 5-acetyl- and 5-hydroxyalkyl-1,3-dioxanes were synthesized in high yields. Their effect on platelet aggregation and plasma hemostasis was established.
Review
For citations:
Musin A.I., Borisova Yu.G., Dzhumaev Sh.Sh., Khusnutdinova N.S., Raskil’dina G.Z., Sultanova R.M., Zlotskii S.S. Synthesis and biological activity of 5-acetyl- and 5-hydroxyalkyl1,3-dioxane derivatives. Fine Chemical Technologies. 2023;18(4):381-391. https://doi.org/10.32362/2410-6593-2023-18-4-381-391
JATS XML






















