Synthesis of ethers containing 1,3-dioxolane and gem-dichlorocyclopropane fragments
https://doi.org/10.32362/2410-6593-2021-16-2-156-166
Abstract
Objectives. This study aimed to obtain ethers containing gem-dichlorocyclopropane and 1,3-dioxolane fragments and evaluate their cytotoxic properties against HEK293, SH-SY5Y, MCF-7, and A549 cell lines.
Methods. The qualitative and quantitative compositions of the reaction masses were determined using mass spectrometry (using a Chromatek-Kristall 5000M device with the 2012 National Institute of Standards and Technology, USA database) and nuclear magnetic resonance spectroscopy (using a Bruker AM-500 device with operating frequencies of 500 and 125 MHz).
Results. Ethers containing gem-dichlorocyclopropane and 1,3-dioxolane fragments were synthesized in the presence of a catamine AB catalyst. The structures of the obtained substances were confirmed using gas-liquid chromatography, mass spectrometry, and nuclear magnetic resonance spectroscopy. The cytotoxicity of the esters was studied against HEK293, SH-SY5Y, MCF-7, and A549 cell lines.
Conclusions. Ethers containing gem-dichlorocyclopropane and 1,3-dioxolane fragments were obtained in quantitative yields; however, only 4-{[(2,2-dichloro-3-{[(2,2-dichlorocyclopropyl) methoxy]methyl}cyclopropyl)methoxy]methyl}-2,2-dimethyl-1,3-dioxolane exhibited cytotoxic activity against HEK293, SH-SY5Y, MCF-7, and A549 cell lines.
About the Authors
Sh. Sh. DzhumaevRussian Federation
Postgraduate Student, Department of General, Analytical and Applied Chemistry,
1, Kosmonavtov ul., Ufa, 450064
Yu. G. Borisova
Russian Federation
Cand. Sci. (Chem.), Teacher, Department of General, Analytical and Applied Chemistry,
1, Kosmonavtov ul., Ufa, 450064
G. Z. Raskil’dina
Russian Federation
Cand. Sci. (Chem.), Associate Professor, Department of General, Analytical and Applied Chemistry,
1, Kosmonavtov ul., Ufa, 450064
U. Sh. Kuzmina
Russian Federation
Cand. Sci. (Biol.), Researcher, Institute of Biochemistry and Genetics,
71, Oktyabrya pr., Ufa, 450054
R. R. Daminev
Russian Federation
Dr. Sci. (Eng.), Professor, Director of Branch in Sterlitamak,
2, Oktyabrya pr., Sterlitamak, 453118
S. S. Zlotskii
Russian Federation
Dr. Sci. (Chem.), Professor, Head of the Department of General, Analytical and Applied Chemistry,
1, Kosmonavtov ul., Ufa, 450064
References
1. Yakovenko Е.А., Raskil’dina G.Z., Mryasova L.М., Zlotsky S.S. Synthesis and herbicidal activity of some esters and amides that include saturated oxygen-containing heterocycles. Khimiya i Tekhnologiya Organicheskikh Veshchestv = Chemistry and Technology of Organic Substances. 2019;3(11):4–13 (in Russ.).
2. Stanislawski P.C., Willis A.C., Banwell M.G. gemDihalocyclopropanes as building blocks in natural-product synthesis: enantioselective total syntheses of ent-erythramine and 3-epi-erythramine. Chem. Asian J. 2007;2(9):1127–1136. https://doi.org/10.1002/asia.200700155
3. Sakhabutdinova G.N., Raskil’dina G.Z., Meshcherya¬kova S.A., Shumadalova A.V., Bortsova Yu.L., Kuzmina U.Sh., Zlotsky S.S., Sultanova R.M. Antioxidant and cytotoxic activity of a series of O- and S-containing macrocycles. Izv. Vyssh. Uchebn. Zaved. Khim. Khim. Tekhnol. = Russ. J. Chem. & Chem. Tech. 2020;63(3):82–88 (in Russ.). https://doi.org/10.6060/ivkkt.20206303.6118
4. Varfolomeev S.D., Nikiforov G.A., Vol’eva V.B., et al. Octane-increasing additive to petrol: RF Pat. 2365617. Publ. 27.08.2009. (in Russ.).
5. Küçük H.B., Yusufoğlu A.S., Mataracı E., Döşler S. Synthesis and biological activity of new 1,3-dioxolanes as potential antibacterial and antifungal compounds. Molecules. 2011;16(8):6806–6815. https://doi.org/10.3390/molecules16086806
6. Genta M.T., Villa C., Mariani E., Loupy A., Petit A., Rizzetto R., Mascarotti A., Morini, F., Ferro M. Microwaveassisted preparation of cyclic ketals from a cineole ketone as potential cosmetic ingredients: solvent-free synthesis, odour evaluation, in vitro cytotoxicity and antimicrobial assays. Int. J. Pharm. 2002;231(1):11–20. https://doi.org/10.1016/S0378-5173(01)00821-3
7. Raskil’dina G.Z., Sakhabutdinova G.N., Purygin P.P., Bondareva N.A., Borisova Yu.G., Zlotsky S.S. Anticoagulant and antiaggregatory activities of a series of substituted 1,3-dioxacycloalkanes and O-, S-containing macrocycles. Butlerovskie Soobshcheniya. 2021;65(1):53–58 (in Russ.). Available from URL: https://butlerov.com/files/reports/2021/vol65/1/53/21-65-1-53-.pdf
8. Ovsyannikova M.N., Vol’eva V.B., Belostotskaya I.S., et al. Antibacterial activity of substituted 1,3-dioxolanes. Pharm. Chem. J. 2013;47(3):142–145. https://doi.org/10.1007/s11094-013-0913-6
9. Kailania M.H., Al-Bakrib A.G., Saadeha H., AlHiari Y.M. Preparation and Antimicrobial Screening of Novel 2,2-dichloro-cyclopropane–cis-dicarbamates and Comparison to their Alkane and cis-Alkene Analogs. Jordan J. Chem. 2012;7(3):239–252.
10. Soldatenkov A.T., Anh L.T., Hieu T.H., Nikitina E.V., Alarcon H.R. Prirodnye biologicheski aktivnye veshchestva (Natural biologically active substances). Hanoi: Znaniya; 2016. 376 p. (in Russ.).
11. Ozkanli F, Güney A, Caliş U, Uzbay T. Synthesis and anticonvulsant activity of some new dioxolane derivatives. Arzneimittel-Forschung. 2003;53(11):758–762. https://doi.org/10.1002/chin.200409098
12. Schmidt M., Ungvári J., Glöde J., Dobner B., Langner A. New 1,3-dioxolane and 1,3-dioxane derivatives as effective modulators to overcome multidrug resistance. Bioorg. Med. Chem. 2007;15(6):2283–2297. https://doi.org/10.1016/j.bmc.2007.01.024
13. Nguyen-Ba N., Lee N., Chan L., Zacharie B. Synthesis and antiviral activities of N-9-oxypurine 1,3-Dioxolane and 1,3-oxathiolane nucleosides. Bioorg. Med. Chem. Lett. 2000;10(19):2223–2226. https://doi.org/10.1016/S0960-894X(00)00452-2
14. Bera S., Malik L., Bhat B., Carrol S.S., MacCoss M., Olsen D.B., Tomassini J.E., Eldrup A.B. Synthesis and evaluation of optically pure dioxolanes as inhibitors of hepatitis C virus RNA replication. Bioorg. Med. Chem. Lett. 2003;13(24):4455–4458. https://doi.org/10.1016/j.bmcl.2003.09.008
15. Zapata-Sudo G., Pontes L.B., Gabriel D., Mendes T.C.F., Ribeiro N.M., Pinto A.C., Trachez M.M., Sudo R.T. Sedative–hypnotic profile of novel isatin ketals. Pharmacol. Biochem. Behav. 2007;86(4):678–685. https://doi.org/10.1016/j.pbb.2007.02.013
16. Ramazanov D.N., Dzhumbe A., Nekhaev A.I., Samoilov V.O., Maximov A.L., Egorova E.V. Reaction between glycerol and acetone in the presence of ethylene glycol. Pet. Chem. 2015;55(2):140–145. https://doi.org/10.1134/S0965544115020152
17. Barbosa S.L., Lima P.C. Oxygenated biofuels: Synthesis of fatty acid solketal esters with a mixture of sulfonated silica and (Bu4 N)(BF4 ) catalyst. Catal. Commun. 2019;120:76–79. https://doi.org/10.1016/j.catcom.2018.12.005
18. Sulistyo H., Huda E.N., Utami T.S., et al. Solketal Production by Glycerol Acetalization Using Amberlyst-15 Catalyst. ASEAN J. Chem. Eng. 2020;20(1):67–76. https://doi.org/10.22146/ajche.52455
19. Fatimah I., Sahroni I., Fadillah G., et al. Glycerol to Solketal for Fuel Additive: Recent Progress in Heterogeneous Catalysts. Energies. 2019;12(15):2872. https://doi.org/10.3390/en12152872
20. Ilgen O., Yerlikaya S., Akyurek F.O. Synthesis of Solketal from Glycerol and Acetone over Amberlyst-46 to Produce an Oxygenated Fuel Additive. Period. Polytech. Chem. Eng. 2017;61(2):144–148. https://doi.org/10.3311/PPch.8895
21. Dmitriev G.S., Zanaveskin L.N., Terekhov A.V., et al. Technologies for processing of crude glycerol from biodiesel production: synthesis of solketal and its hydrolysis to obtain pure glycerol. Russ. J. Appl. Chem. 2018;91:1478–1485. https://doi.org/10.1134/S1070427218090100
22. Behr A., Eilting J., Irawadi K., Leschinski J., Lindner F., et al. Improved utilisation of renewable resources: New important derivatives of glycerol. Green Chem. 2008;10(1):13–30. https://doi.org/10.1039/B710561D
23. Raskil’dina G.Z., Valiev V.F., Sultanova R.M., Zlotsky S.S. Selective functionalization of the primary hydroxy group in triols. Russ. J. Appl. Chem. 2015;88(10):1599–1604. https://doi.org/10.1134/S1070427215100079 [Original Russian Text: Raskil’dina G.Z., Valiev V.F., Sultanova R.M., Zlotskii S.S. Selective functionalization of the primary hydroxy group in triols. Zhurnal Prikladnoi Khimii. 2015;88(10):1414–1419 (in Russ.).]
24. Valiev V.F., Raskildina G.Z., Mudrik T.P., Bogomazova A.A., Zlotsky S.S. Synthesis of polyfunctional vicinal glycoles. Bashkir. khim. zh. = Bashkir Chem. J. 2014:21(3):25–27 (in Russ.). Available from URL: http://bcj.rusoil.net/files/slider/BCJ_3_2014.pdf
25. Thankachan A.P., Sindhu K.S., Krishnan K.K., Anilkumar G. Recent advances in the syntheses, transformations and applications of 1,1-dihalocyclopropanes. Org. Biom. Chem. 2015;13(33):8780–8802. https://doi.org/10.1039/C5OB01088H
26. Fedoryński M. Syntheses of gemDihalocyclopropanes and Their Use in Organic Synthesis. Chem. Rev. 2003;103(4):1099–1132. https://doi.org/10.1021/cr0100087
27. Østby R.B., Didriksen T., Antonsen S.G., Nicolaisen S.S., Stenstrøm Y. Two-phase dibromocyclopropanation of unsaturated alcohols using flow chemistry. Molecules. 2020;25(10):2364–2376. https://doi.org/10.3390/molecules25102364
28. Raskilʼdina G.Z., Kuzmina U.S., Dzhumaev S.S., et al. Synthesis and cytotoxic properties of some cyclic acetals of diols and their dichlorocyclopropyl derivatives. Russ. Chem. Bull. 2021;70:475–478. https://doi.org/10.1007/s11172-021-3111-9 [Original Russian Text: Raskil’dina G.Z., Kuzmina U.Sh., Dzhumaev Sh.Sh., Borisova Yu.G., Ishmetova D.V., Vakhitova Yu.V., Zlotskii S.S. Synthesis and cytotoxic properties of some cyclic acetals of diols and their dichlorocyclopropyl derivatives. Izv. Akad. Nauk. Ser. Khim. 2021;70(3):475–478 (in Russ.).]
Supplementary files
|
|
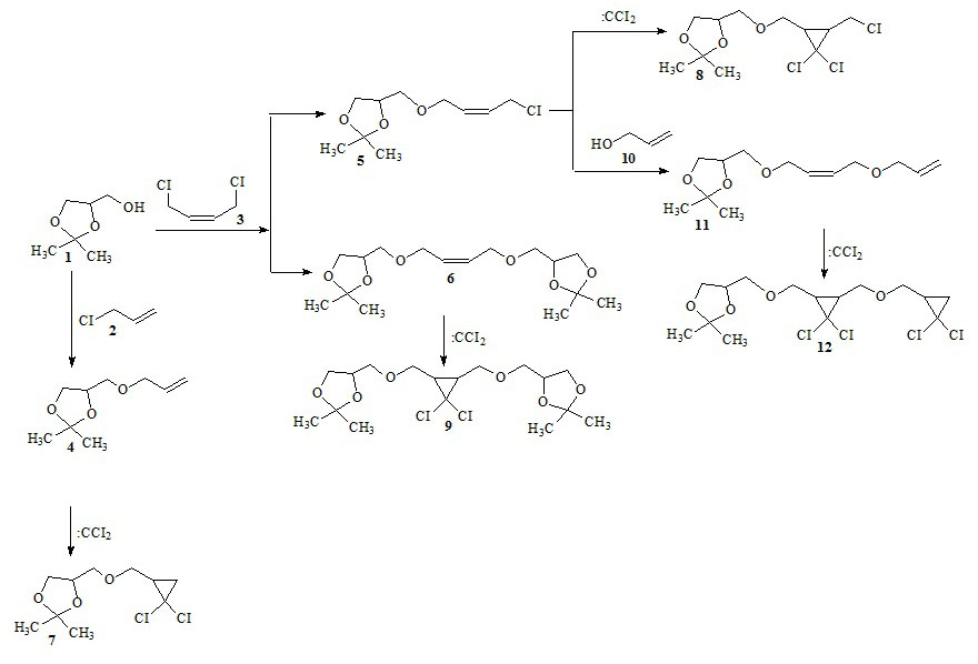
1. Scheme 1. Synthesis of 2,2-dimethyl-4-hydroxymethyl-1,3-dioxolane ethers 1. | |
| Subject | ||
| Type | Исследовательские инструменты | |
View
(71KB)
|
Indexing metadata ▾ | |
|
|
2. This is to certify that the paper titled Synthesis of ethers containing 1,3-dioxolane and gem-dichlorocyclopropane fragments commissioned to us by Shakhobiddin Sh. Dzhumaev, Yulianna G. Borisova, Gul’nara Z. Raskil’dina, Ulyana Sh. Kuzmina, Rustem R. Daminev, Simon S. Zlotskii has been edited for English language and spelling by Enago, an editing brand of Crimson Interactive Inc. | |
| Subject | CERTIFICATE OF EDITING | |
| Type | Other | |
View
(209KB)
|
Indexing metadata ▾ | |
O-alkylation of 2,2-dimethyl-4-hydroxymethyl-1,3-dioxolane 1 with 2 and cis-1,4-dichlorobutene-2 3 proceeded to give the corresponding ethers 4–6. Dichlorocarbenation of compounds 4–6 led to products 7–9. Exhaustive dichlorocarbenation of the compound 11 led to diester 12.
Review
For citations:
Dzhumaev Sh.Sh., Borisova Yu.G., Raskil’dina G.Z., Kuzmina U.Sh., Daminev R.R., Zlotskii S.S. Synthesis of ethers containing 1,3-dioxolane and gem-dichlorocyclopropane fragments. Fine Chemical Technologies. 2021;16(2):156-166. https://doi.org/10.32362/2410-6593-2021-16-2-156-166






















